Br2Nb2O2
MatHub2d-1232-Br2Nb2O2
| Property |
Value |
| Space group |
(59, 'Pmmn') |
| Crystal system |
rectangular |
| Magnetic |
|
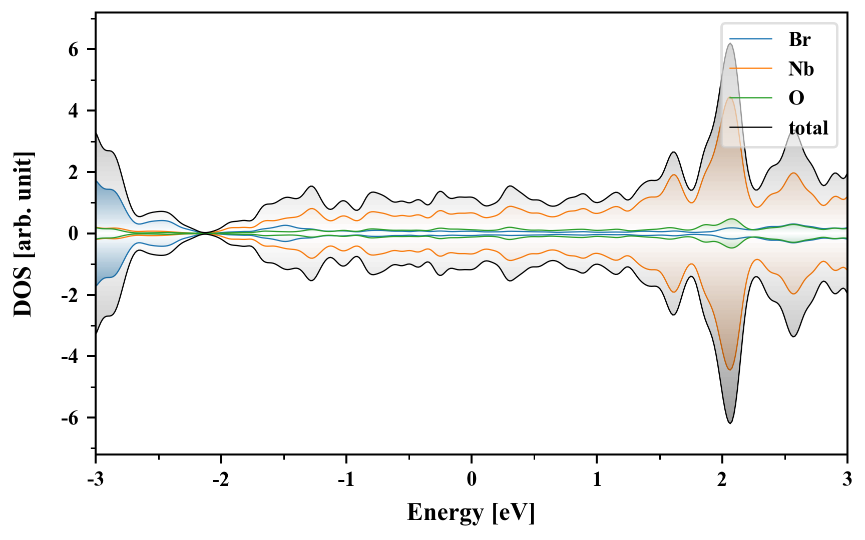
| Band gap (PBE) (eV) |
0.00 |
| Free energy (eV) |
-39.628 |
| Free energy / atom (eV) |
-6.605 |
Lattice Parameters (basic)
| a, b, c (Å): | 3.275 | 4.118 | 30.000 |
| α, β, γ (°): | 90.000 | 90.000 | 90.000 |
Lattice Parameters (computed)
| a, b, c (Å): | 3.323 | 4.134 | 30.000 |
| α, β, γ (°): | 90.000 | 90.000 | 90.000 |
| Property |
Value |
| Band gap |
0.00 eV |
| E-fermi |
-1.627 eV |
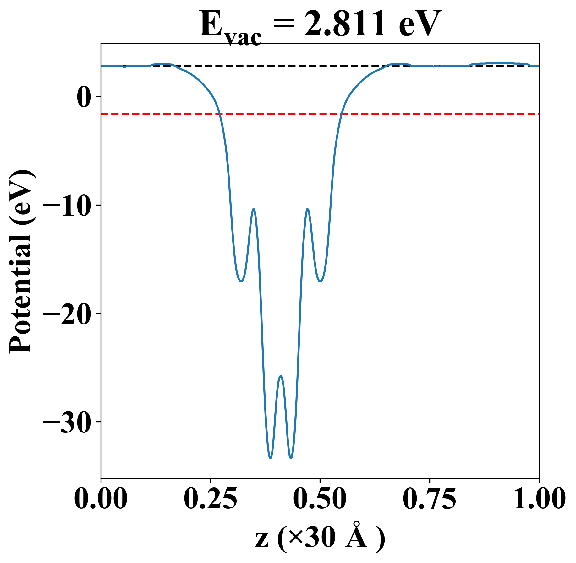
| Vacuum level |
2.811 eV |
| VBM |
-1.630 eV |
| CBM |
-1.627 eV |
| Work function |
4.439 eV |
| Direct gap |
No |
| Property |
Value |
| Band gap |
0.00 eV |
| E-fermi |
-1.627 eV |
| Vacuum level |
2.811 eV |
| VBM |
-1.630 eV |
| CBM |
-1.627 eV |
| Work function |
4.439 eV |
| Cij (N/m) |
xx |
yy |
xy |
| xx |
86.694 |
2.430 |
0.000 |
| yy |
2.430 |
271.442 |
0.000 |
| xy |
0.000 |
0.000 |
18.387 |
| Phonon mode at Γ point (THz) |
| Property |
Value |
| from where |
c2db-238 |