Br2N2Zr2
MatHub2d-1231-Br2N2Zr2
| Property |
Value |
| Space group |
(59, 'Pmmn') |
| Crystal system |
rectangular |
| Magnetic |
No |
| Band gap (PBE) (eV) |
1.82 |
| Free energy (eV) |
-46.955 |
| Free energy / atom (eV) |
-7.826 |
Lattice Parameters (basic)
| a, b, c (Å): | 3.625 | 4.128 | 30.000 |
| α, β, γ (°): | 90.000 | 90.000 | 90.000 |
Lattice Parameters (computed)
| a, b, c (Å): | 3.625 | 4.139 | 30.000 |
| α, β, γ (°): | 90.000 | 90.000 | 90.000 |
| Property |
Value |
| Band gap |
1.82 eV |
| E-fermi |
-3.371 eV |
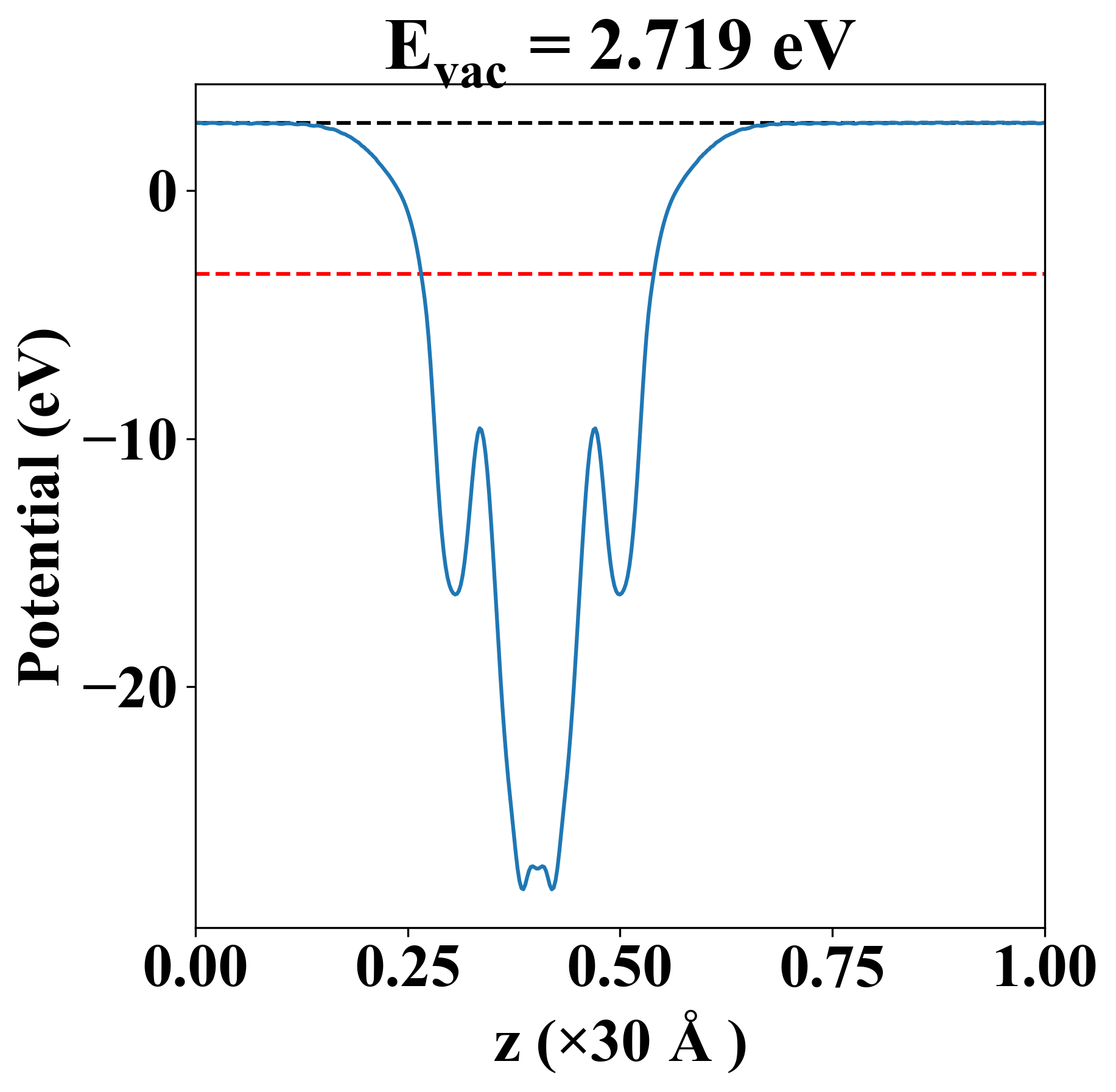
| Vacuum level |
2.719 eV |
| VBM |
-3.678 eV |
| CBM |
-1.862 eV |
| Work function |
6.090 eV |
| Direct gap |
Yes |
| Property |
Value |
| Band gap |
1.81 eV |
| E-fermi |
-3.273 eV |
| VBM |
-3.676 eV |
| CBM |
-1.869 eV |
| Free energy (eV) |
-47.147 |
| Free energy / atom (eV) |
-7.858 |
| Property |
Value |
| Band gap |
1.82 eV |
| E-fermi |
-3.371 eV |
| Vacuum level |
2.719 eV |
| VBM |
-3.678 eV |
| CBM |
-1.862 eV |
| Work function |
6.090 eV |
| Property |
Value |
| from where |
JVASP-14421 |