Br2N2V2
MatHub2d-1229-Br2N2V2
| Property |
Value |
| Space group |
(59, 'Pmmn') |
| Crystal system |
rectangular |
| Magnetic |
Yes |
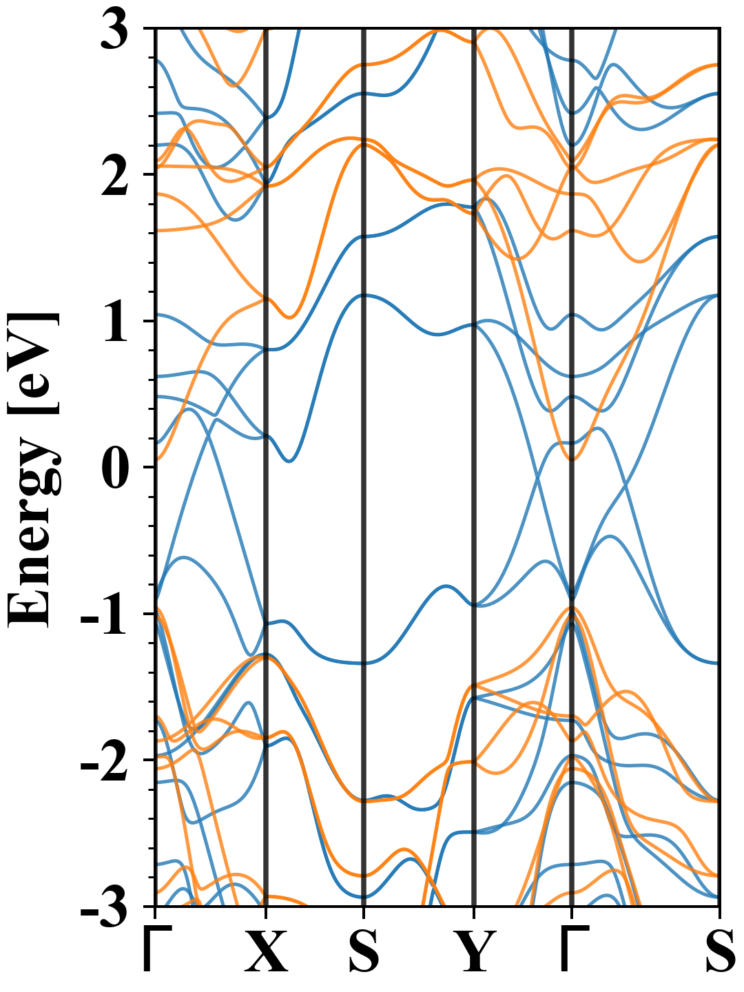
| Band gap (PBE) (eV) |
0.01 |
| Free energy (eV) |
-37.948 |
| Free energy / atom (eV) |
-6.325 |
Lattice Parameters (basic)
| a, b, c (Å): | 3.267 | 3.962 | 30.000 |
| α, β, γ (°): | 90.000 | 90.000 | 90.000 |
Lattice Parameters (computed)
| a, b, c (Å): | 3.402 | 3.850 | 30.000 |
| α, β, γ (°): | 90.000 | 90.000 | 90.000 |
| Property |
Value |
| Band gap |
0.01 eV |
| E-fermi |
-3.079 eV |
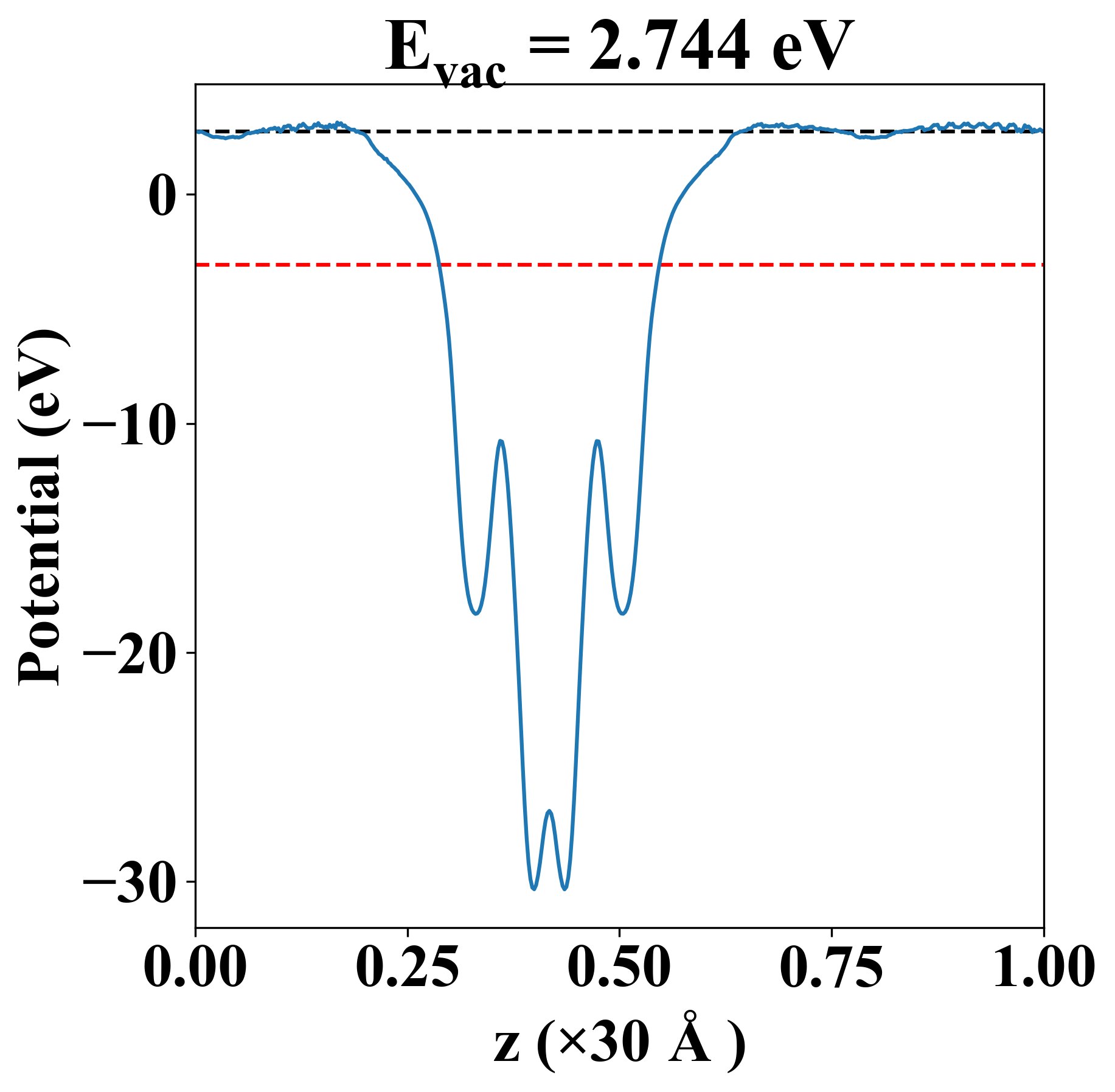
| Vacuum level |
2.744 eV |
| VBM |
-3.081 eV |
| CBM |
-3.073 eV |
| Work function |
5.823 eV |
| Direct gap |
No |
| Property |
Value |
| Band gap |
0.01 eV |
| E-fermi |
-3.079 eV |
| Vacuum level |
2.744 eV |
| VBM |
-3.081 eV |
| CBM |
-3.073 eV |
| Work function |
5.823 eV |
| Cij (N/m) |
xx |
yy |
xy |
| xx |
94.187 |
42.154 |
0.000 |
| yy |
42.154 |
127.529 |
0.000 |
| xy |
0.000 |
0.000 |
40.630 |
| Phonon mode at Γ point (THz) |
| Property |
Value |
| from where |
c2db-400 |