Br2N2Ti2
MatHub2d-1227-Br2N2Ti2
| Property |
Value |
| Space group |
(59, 'Pmmn') |
| Crystal system |
rectangular |
| Magnetic |
No |
| Band gap (PBE) (eV) |
1.23 |
| Free energy (eV) |
-37.881 |
| Free energy / atom (eV) |
-6.313 |
Lattice Parameters (basic)
| a, b, c (Å): | 3.371 | 3.944 | 30.000 |
| α, β, γ (°): | 90.000 | 90.000 | 90.000 |
Lattice Parameters (computed)
| a, b, c (Å): | 3.408 | 4.008 | 30.000 |
| α, β, γ (°): | 90.000 | 90.000 | 90.000 |
| Property |
Value |
| Band gap |
1.23 eV |
| E-fermi |
-3.388 eV |
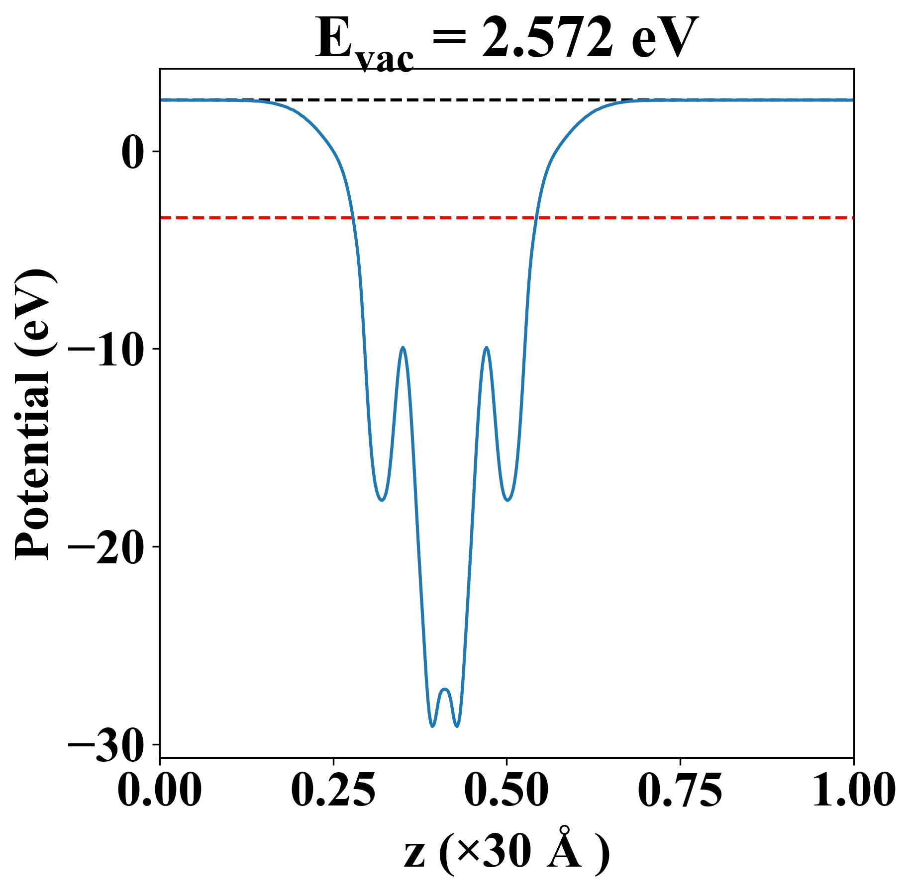
| Vacuum level |
2.572 eV |
| VBM |
-3.616 eV |
| CBM |
-2.382 eV |
| Work function |
5.960 eV |
| Direct gap |
Yes |
| Property |
Value |
| Band gap |
1.24 eV |
| E-fermi |
-3.294 eV |
| VBM |
-3.618 eV |
| CBM |
-2.375 eV |
| Free energy (eV) |
-37.946 |
| Free energy / atom (eV) |
-6.324 |
| Property |
Value |
| Band gap |
1.23 eV |
| E-fermi |
-3.388 eV |
| Vacuum level |
2.572 eV |
| VBM |
-3.616 eV |
| CBM |
-2.382 eV |
| Work function |
5.960 eV |
| Cij (N/m) |
xx |
yy |
xy |
| xx |
136.405 |
35.025 |
0.000 |
| yy |
35.025 |
131.572 |
0.000 |
| xy |
0.000 |
0.000 |
64.159 |
| Phonon mode at Γ point (THz) |
| Property |
Value |
| from where |
JVASP-6184 |