Br2N2Ta2
MatHub2d-1226-Br2N2Ta2
| Property |
Value |
| Space group |
(59, 'Pmmn') |
| Crystal system |
rectangular |
| Magnetic |
No |
| Band gap (PBE) (eV) |
0.00 |
| Free energy (eV) |
-46.093 |
| Free energy / atom (eV) |
-7.682 |
Lattice Parameters (basic)
| a, b, c (Å): | 3.431 | 4.270 | 30.000 |
| α, β, γ (°): | 90.000 | 90.000 | 90.000 |
Lattice Parameters (computed)
| a, b, c (Å): | 3.449 | 4.270 | 30.000 |
| α, β, γ (°): | 90.000 | 90.000 | 90.000 |
| Property |
Value |
| Band gap |
0.00 eV |
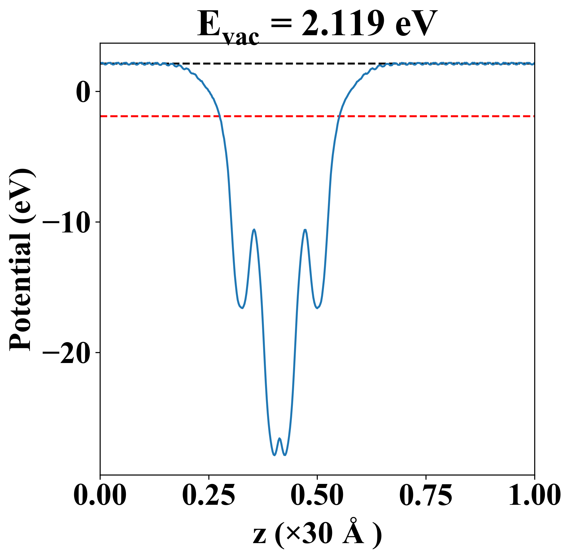
| E-fermi |
-1.915 eV |
| Vacuum level |
2.119 eV |
| VBM |
-1.918 eV |
| CBM |
-1.914 eV |
| Work function |
4.034 eV |
| Direct gap |
No |
| Property |
Value |
| Band gap |
0.00 eV |
| E-fermi |
-1.915 eV |
| Vacuum level |
2.119 eV |
| VBM |
-1.918 eV |
| CBM |
-1.914 eV |
| Work function |
4.034 eV |
| Cij (N/m) |
xx |
yy |
xy |
| xx |
144.390 |
5.658 |
0.000 |
| yy |
5.658 |
175.532 |
0.000 |
| xy |
0.000 |
0.000 |
40.003 |
| Phonon mode at Γ point (THz) |
| Property |
Value |
| from where |
c2db-375 |