Br2N2Sn2
MatHub2d-1225-Br2N2Sn2
| Property |
Value |
| Space group |
(59, 'Pmmn') |
| Crystal system |
rectangular |
| Magnetic |
No |
| Band gap (PBE) (eV) |
1.86 |
| Free energy (eV) |
-29.225 |
| Free energy / atom (eV) |
-4.871 |
Lattice Parameters (basic)
| a, b, c (Å): | 3.596 | 4.181 | 30.000 |
| α, β, γ (°): | 90.000 | 90.000 | 90.000 |
Lattice Parameters (computed)
| a, b, c (Å): | 3.546 | 4.117 | 30.000 |
| α, β, γ (°): | 90.000 | 90.000 | 90.000 |
| Property |
Value |
| Band gap |
1.86 eV |
| E-fermi |
-3.315 eV |
| Vacuum level |
2.787 eV |
| VBM |
-3.540 eV |
| CBM |
-1.681 eV |
| Work function |
6.102 eV |
| Direct gap |
Yes |
| Property |
Value |
| Band gap |
1.86 eV |
| E-fermi |
-3.322 eV |
| VBM |
-3.534 eV |
| CBM |
-1.675 eV |
| Free energy (eV) |
-29.364 |
| Free energy / atom (eV) |
-4.894 |
| Property |
Value |
| Band gap |
1.86 eV |
| E-fermi |
-3.315 eV |
| Vacuum level |
2.787 eV |
| VBM |
-3.540 eV |
| CBM |
-1.681 eV |
| Work function |
6.102 eV |
| Cij (N/m) |
xx |
yy |
xy |
| xx |
124.221 |
38.662 |
0.000 |
| yy |
38.662 |
133.885 |
0.000 |
| xy |
0.000 |
0.000 |
61.015 |
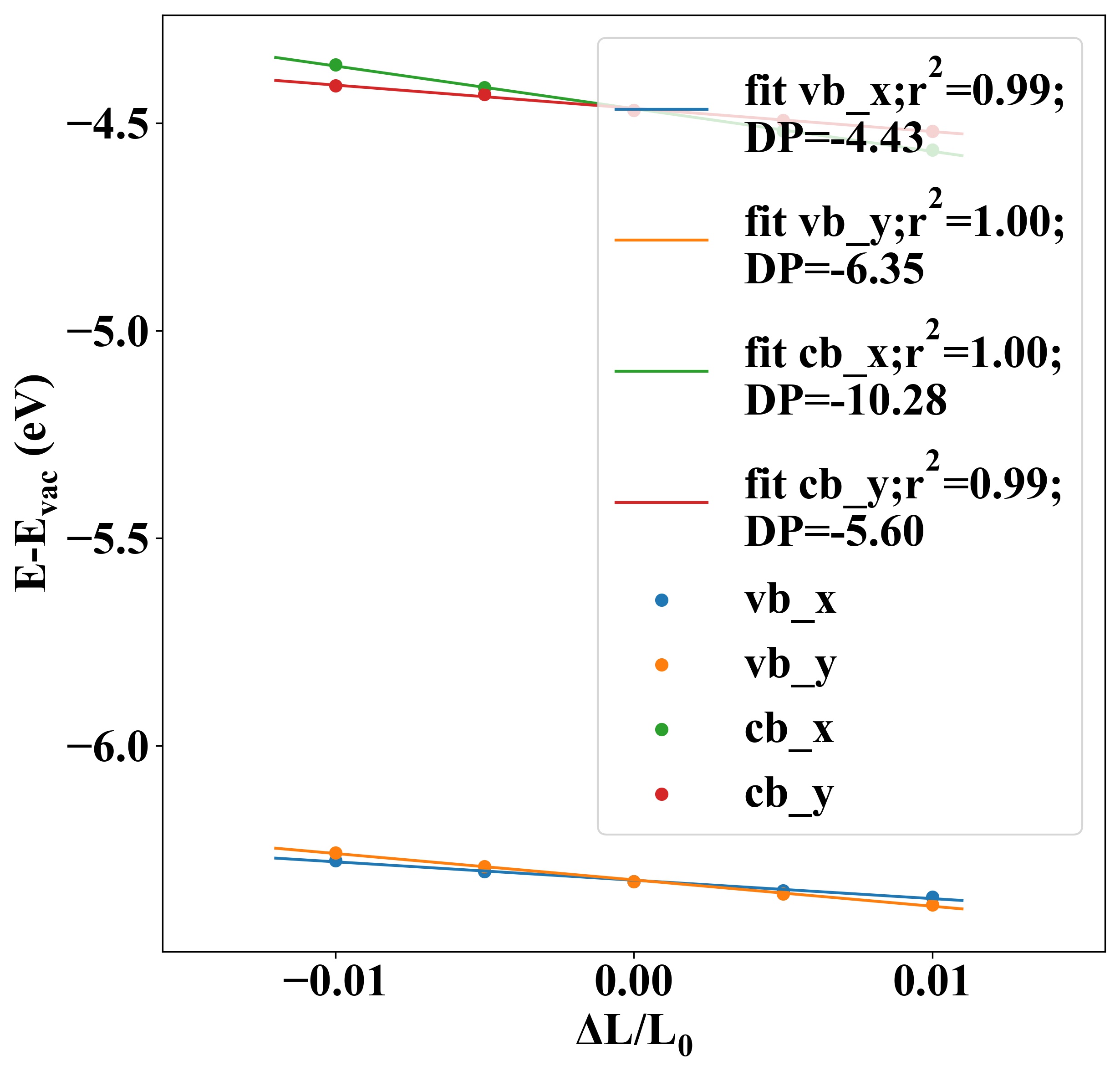
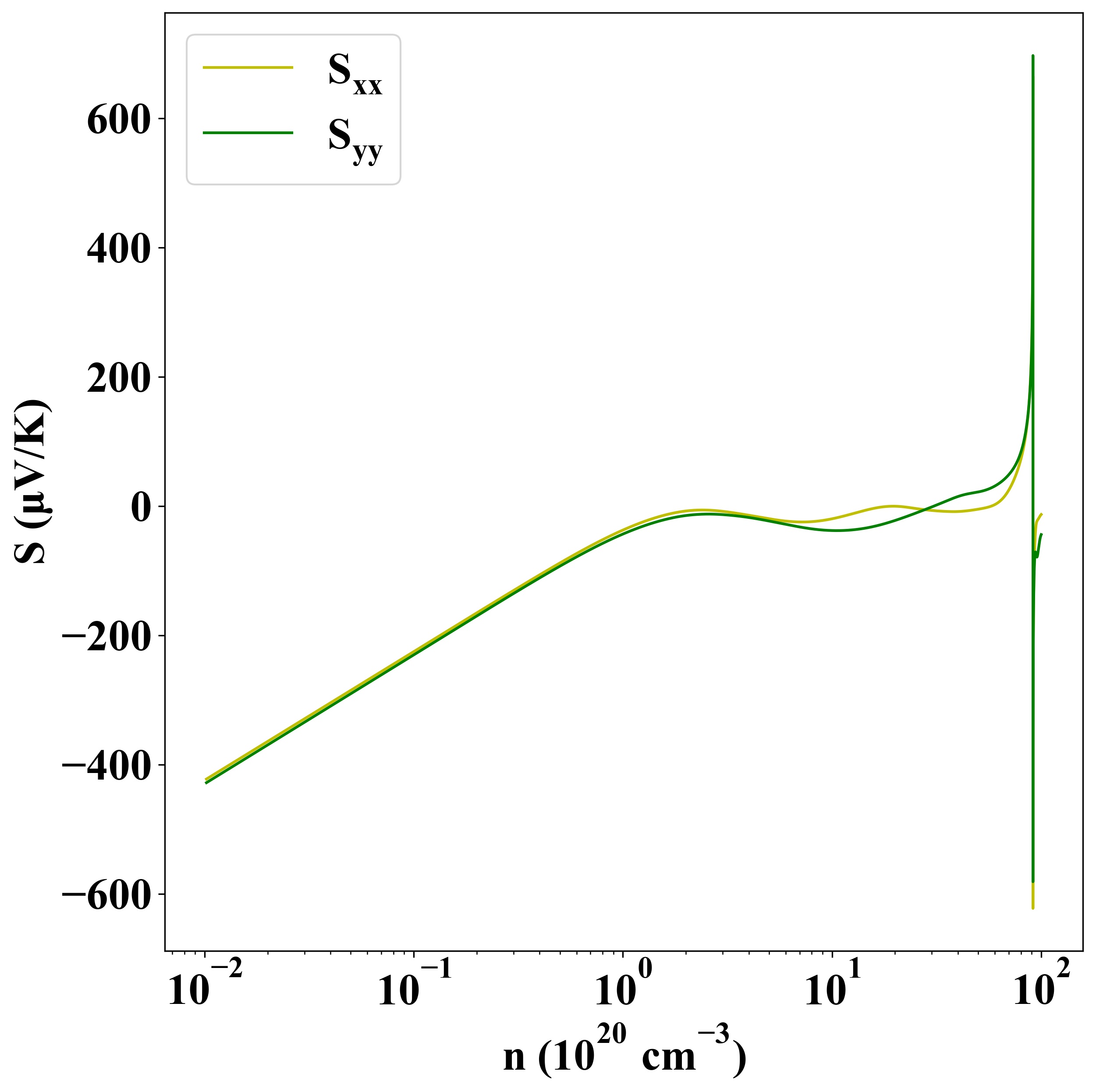
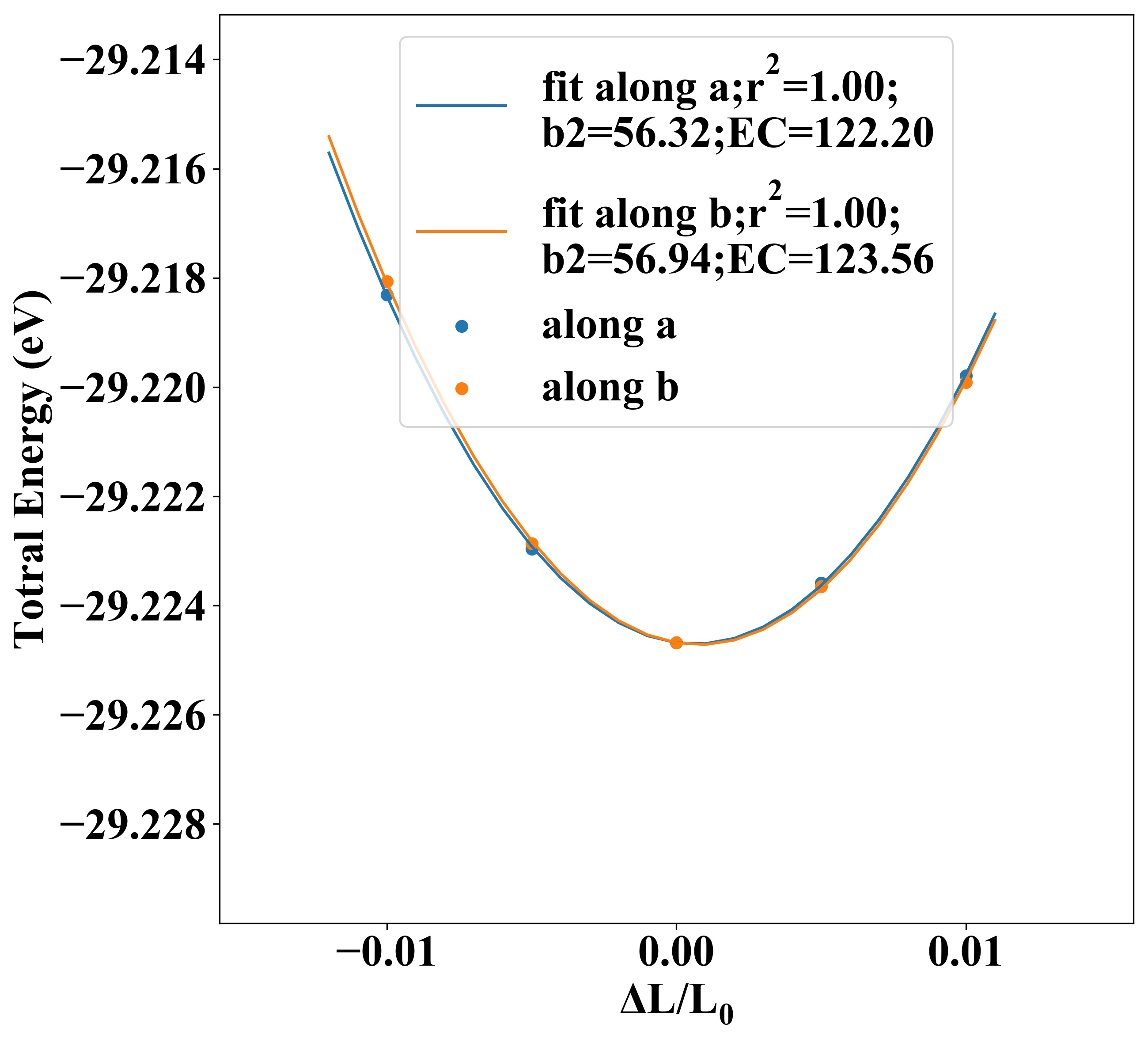
| Phonon mode at Γ point (THz) |
| Carrier type |
C2D (N/m) |
Edef (eV) |
μ (cm2V-1s-1) |
| x |
y |
x |
y |
x |
y |
| hole |
122.20 |
123.56 |
-4.43 |
-6.35 |
-62.97 |
-21.46 |
| electron |
-10.28 |
-5.60 |
259.91 |
701.43 |
| Property |
Value |
| from where |
c2db-352 |