Br2N2Sc2
MatHub2d-1224-Br2N2Sc2
| Property |
Value |
| Space group |
(59, 'Pmmn') |
| Crystal system |
rectangular |
| Magnetic |
|
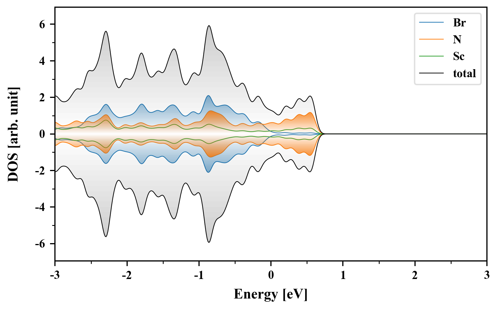
| Band gap (PBE) (eV) |
0.00 |
| Free energy (eV) |
-36.458 |
| Free energy / atom (eV) |
-6.076 |
Lattice Parameters (basic)
| a, b, c (Å): | 3.574 | 3.885 | 30.000 |
| α, β, γ (°): | 90.000 | 90.000 | 90.000 |
Lattice Parameters (computed)
| a, b, c (Å): | 3.604 | 3.872 | 30.000 |
| α, β, γ (°): | 90.000 | 90.000 | 90.000 |
| Property |
Value |
| Band gap |
0.00 eV |
| E-fermi |
-4.441 eV |
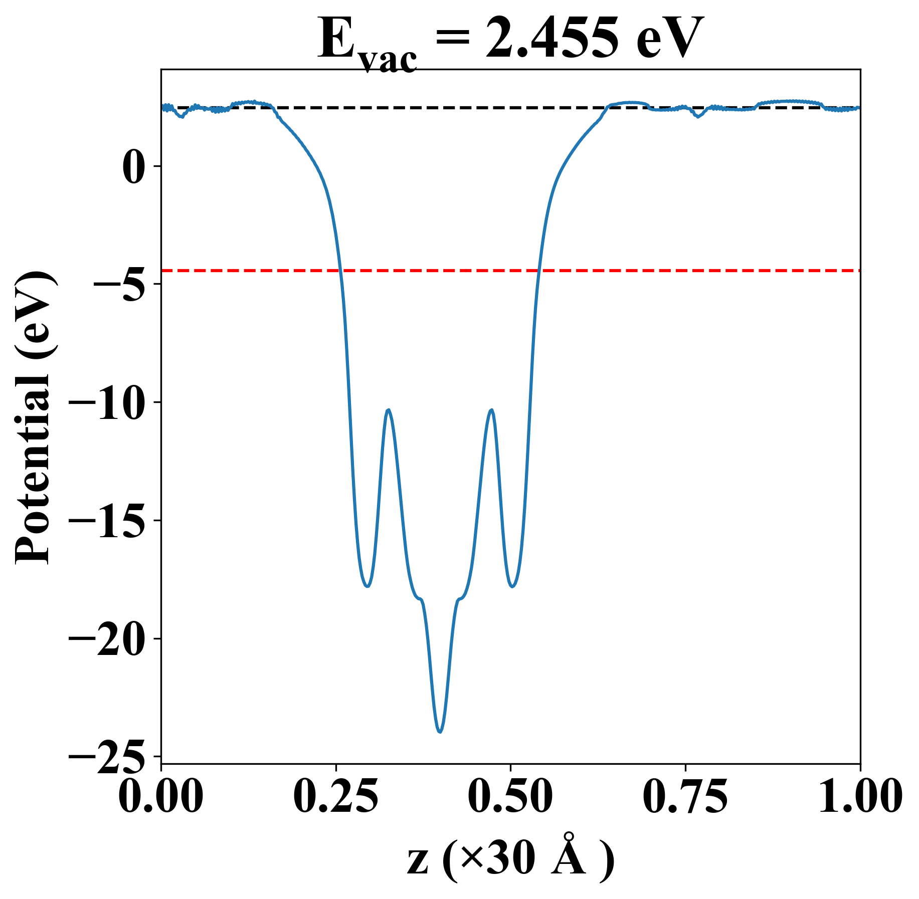
| Vacuum level |
2.455 eV |
| VBM |
-4.442 eV |
| CBM |
-4.441 eV |
| Work function |
6.897 eV |
| Direct gap |
No |
| Property |
Value |
| Band gap |
0.00 eV |
| E-fermi |
-4.441 eV |
| Vacuum level |
2.455 eV |
| VBM |
-4.442 eV |
| CBM |
-4.441 eV |
| Work function |
6.897 eV |
| Cij (N/m) |
xx |
yy |
xy |
| xx |
94.446 |
14.062 |
0.000 |
| yy |
14.062 |
61.201 |
0.000 |
| xy |
0.000 |
0.000 |
-19.521 |
| Phonon mode at Γ point (THz) |
| -0.016 |
| -0.013 |
| -0.004 |
| 0.765 |
| 1.270 |
| 2.157 |
| 3.459 |
| 3.784 |
| 5.400 |
| 5.407 |
| 6.243 |
| 7.258 |
| 8.957 |
| 10.176 |
| 10.822 |
| 12.554 |
| 12.892 |
| 13.599 |
| Property |
Value |
| from where |
c2db-340 |