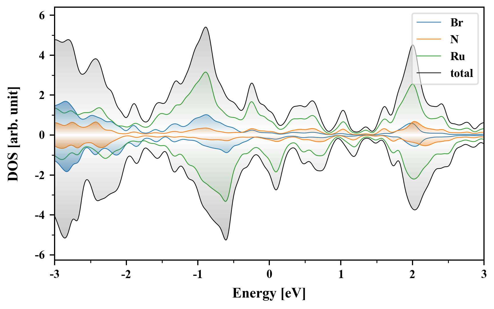
Br2N2Ru2
MatHub2d-1223-Br2N2Ru2
| Property |
Value |
| Space group |
(59, 'Pmmn') |
| Crystal system |
rectangular |
| Magnetic |
Yes |
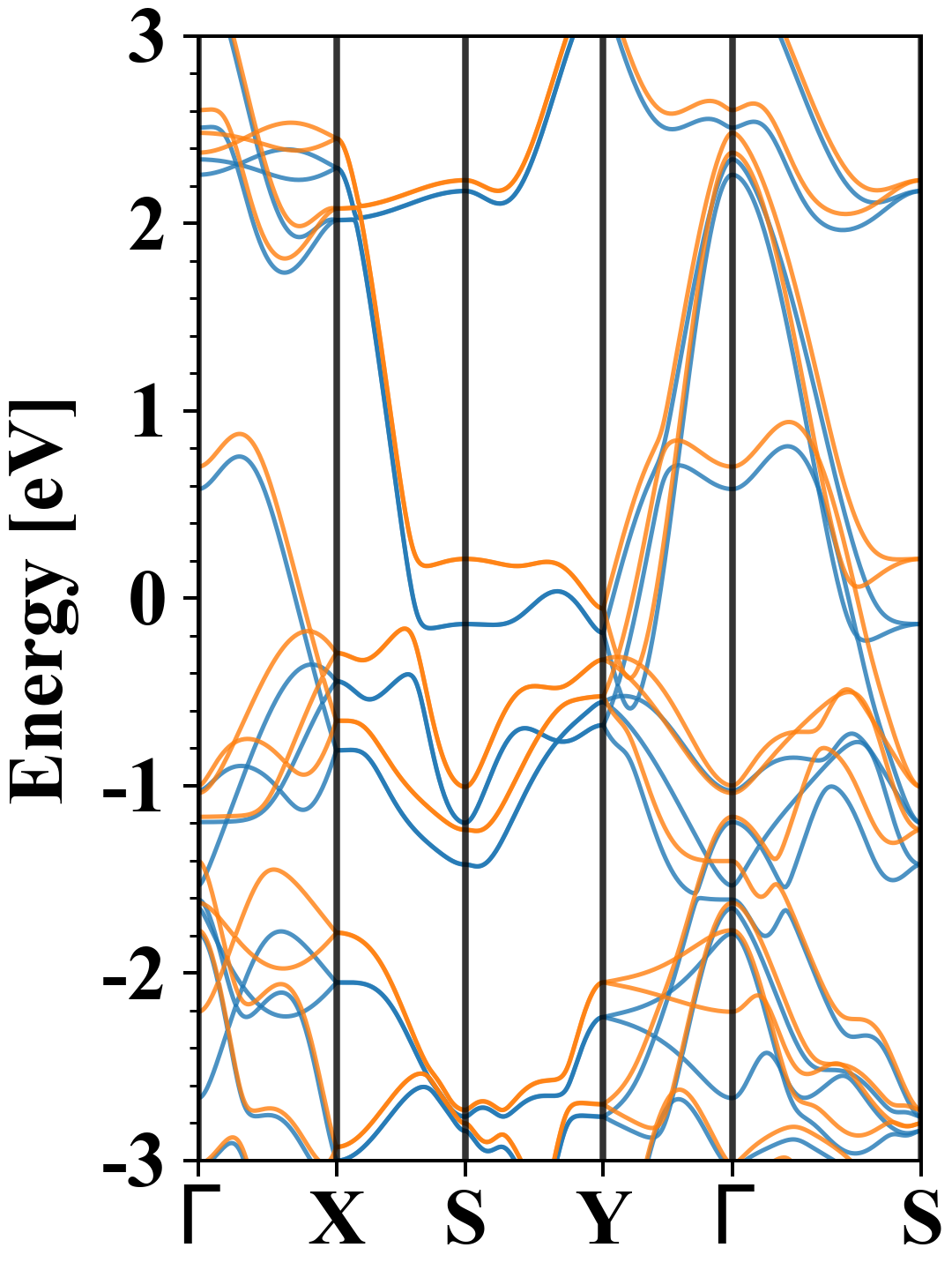
| Band gap (PBE) (eV) |
0.00 |
| Free energy (eV) |
-30.429 |
| Free energy / atom (eV) |
-5.072 |
Lattice Parameters (basic)
| a, b, c (Å): | 3.423 | 3.746 | 30.000 |
| α, β, γ (°): | 90.000 | 90.000 | 90.000 |
Lattice Parameters (computed)
| a, b, c (Å): | 3.430 | 3.678 | 30.000 |
| α, β, γ (°): | 90.000 | 90.000 | 90.000 |
| Property |
Value |
| Band gap |
0.00 eV |
| E-fermi |
-2.852 eV |
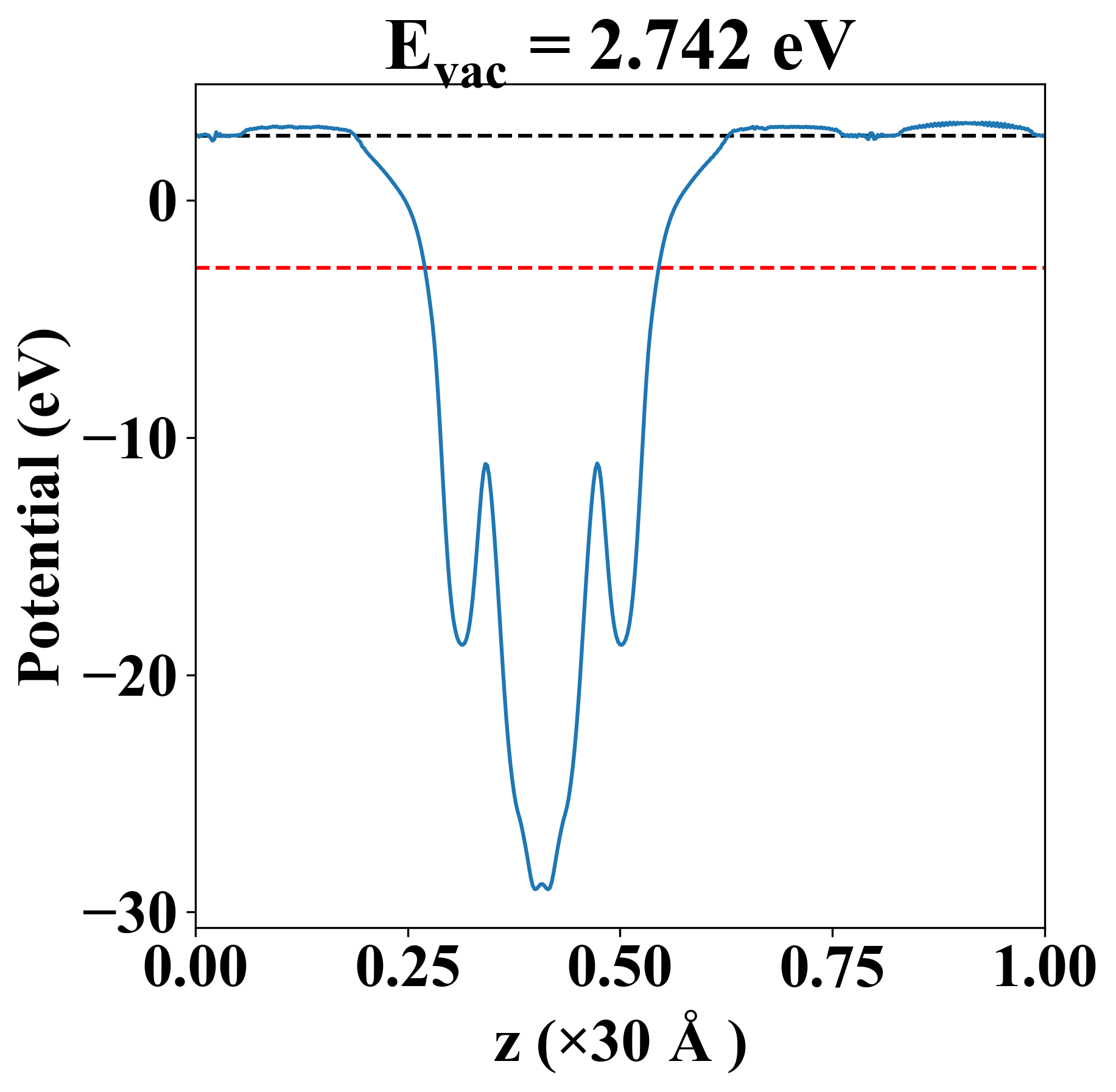
| Vacuum level |
2.742 eV |
| VBM |
-2.853 eV |
| CBM |
-2.851 eV |
| Work function |
5.593 eV |
| Direct gap |
No |
| Property |
Value |
| Band gap |
0.00 eV |
| E-fermi |
-2.852 eV |
| Vacuum level |
2.742 eV |
| VBM |
-2.853 eV |
| CBM |
-2.851 eV |
| Work function |
5.593 eV |
| Cij (N/m) |
xx |
yy |
xy |
| xx |
158.128 |
19.054 |
0.000 |
| yy |
19.054 |
106.935 |
0.000 |
| xy |
0.000 |
0.000 |
8.925 |
| Phonon mode at Γ point (THz) |
| Property |
Value |
| from where |
c2db-325 |