Br2N2Rh2
MatHub2d-1222-Br2N2Rh2
| Property |
Value |
| Space group |
(59, 'Pmmn') |
| Crystal system |
rectangular |
| Magnetic |
No |
| Band gap (PBE) (eV) |
0.00 |
| Free energy (eV) |
-26.803 |
| Free energy / atom (eV) |
-4.467 |
Lattice Parameters (basic)
| a, b, c (Å): | 3.316 | 3.875 | 30.000 |
| α, β, γ (°): | 90.000 | 90.000 | 90.000 |
Lattice Parameters (computed)
| a, b, c (Å): | 3.309 | 3.802 | 30.000 |
| α, β, γ (°): | 90.000 | 90.000 | 90.000 |
| Property |
Value |
| Band gap |
0.00 eV |
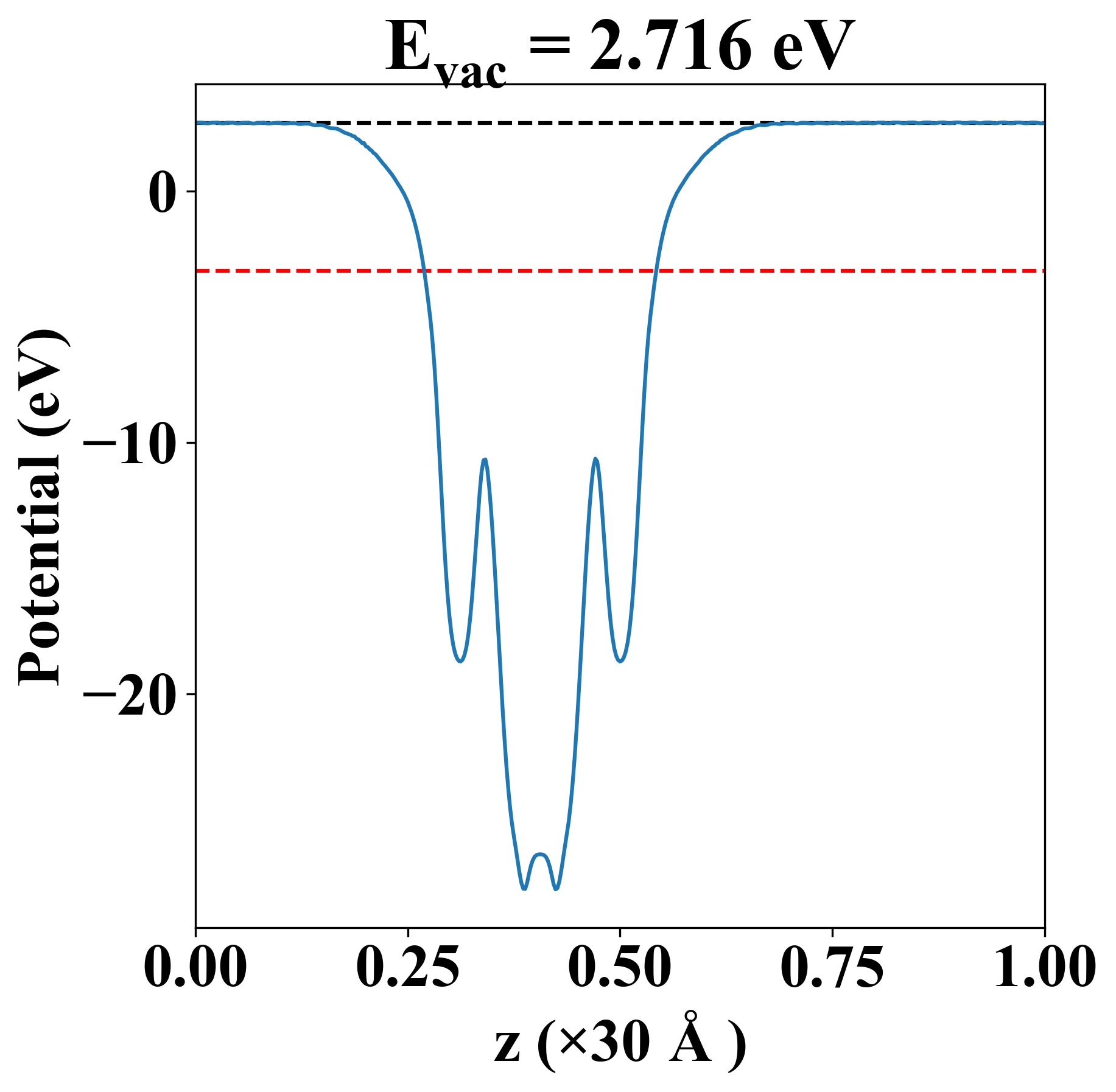
| E-fermi |
-3.168 eV |
| Vacuum level |
2.716 eV |
| VBM |
-3.171 eV |
| CBM |
-3.167 eV |
| Work function |
5.884 eV |
| Direct gap |
No |
| Property |
Value |
| Band gap |
0.00 eV |
| E-fermi |
-3.168 eV |
| Vacuum level |
2.716 eV |
| VBM |
-3.171 eV |
| CBM |
-3.167 eV |
| Work function |
5.884 eV |
| Cij (N/m) |
xx |
yy |
xy |
| xx |
112.370 |
15.201 |
0.000 |
| yy |
15.201 |
-4.874 |
0.000 |
| xy |
0.000 |
0.000 |
31.159 |
| Phonon mode at Γ point (THz) |
| Property |
Value |
| from where |
c2db-313 |