Br2N2Pd2
MatHub2d-1220-Br2N2Pd2
| Property |
Value |
| Space group |
(59, 'Pmmn') |
| Crystal system |
rectangular |
| Magnetic |
|
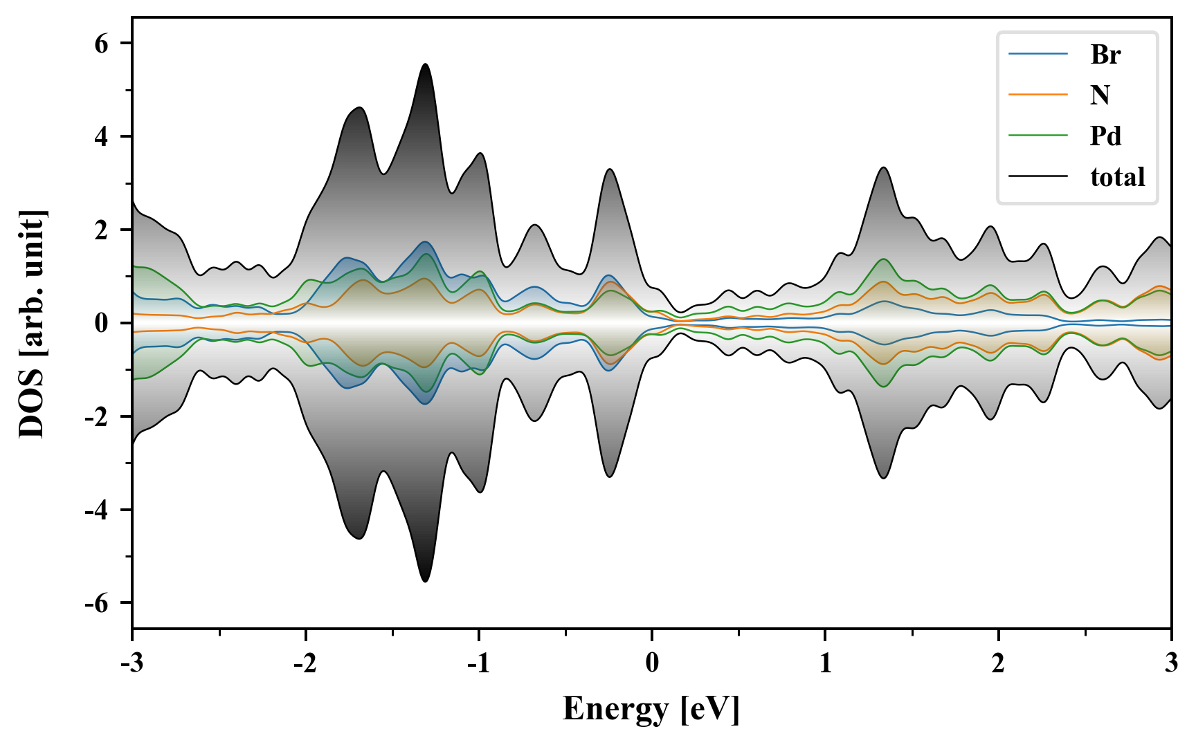
| Band gap (PBE) (eV) |
0.00 |
| Free energy (eV) |
-23.038 |
| Free energy / atom (eV) |
-3.840 |
Lattice Parameters (basic)
| a, b, c (Å): | 3.272 | 4.062 | 30.000 |
| α, β, γ (°): | 90.000 | 90.000 | 90.000 |
Lattice Parameters (computed)
| a, b, c (Å): | 3.246 | 4.022 | 30.000 |
| α, β, γ (°): | 90.000 | 90.000 | 90.000 |
| Property |
Value |
| Band gap |
0.00 eV |
| E-fermi |
-3.367 eV |
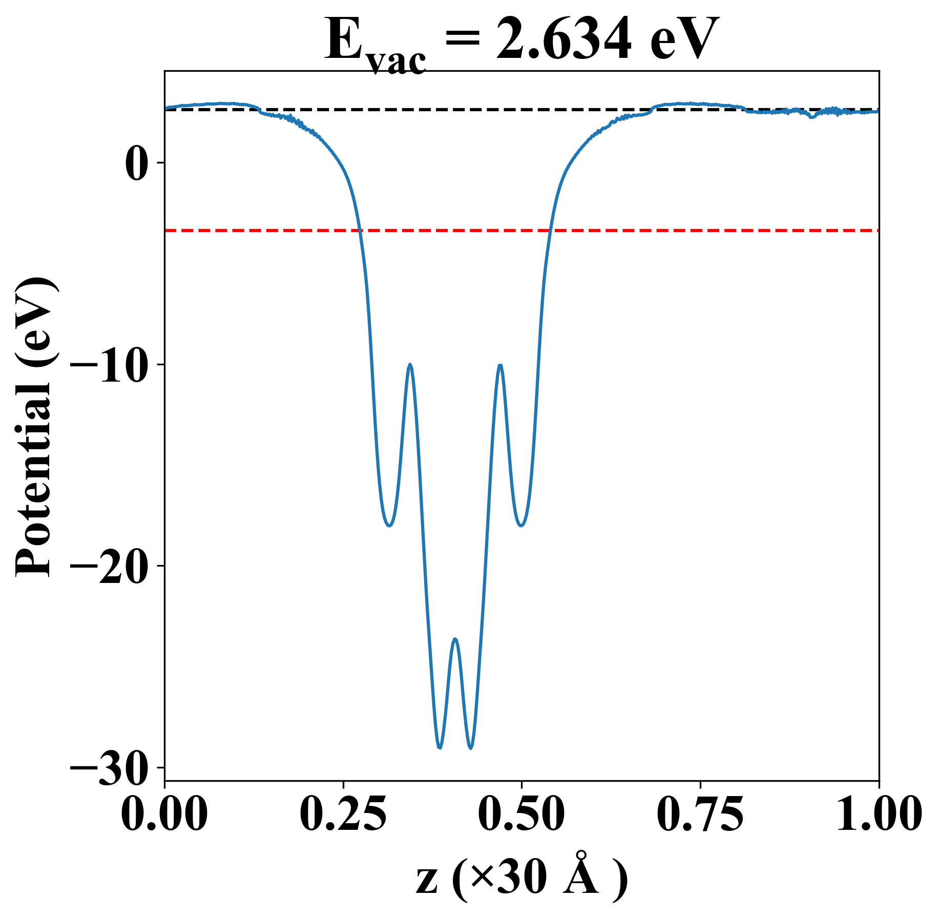
| Vacuum level |
2.634 eV |
| VBM |
-3.368 eV |
| CBM |
-3.367 eV |
| Work function |
6.001 eV |
| Direct gap |
No |
| Property |
Value |
| Band gap |
0.00 eV |
| E-fermi |
-3.367 eV |
| Vacuum level |
2.634 eV |
| VBM |
-3.368 eV |
| CBM |
-3.367 eV |
| Work function |
6.001 eV |
| Cij (N/m) |
xx |
yy |
xy |
| xx |
100.011 |
14.211 |
0.000 |
| yy |
14.211 |
186.235 |
0.000 |
| xy |
0.000 |
0.000 |
23.743 |
| Phonon mode at Γ point (THz) |
| Property |
Value |
| from where |
c2db-290 |