Br2N2Os2
MatHub2d-1218-Br2N2Os2
| Property |
Value |
| Space group |
(59, 'Pmmn') |
| Crystal system |
rectangular |
| Magnetic |
Yes |
| Band gap (PBE) (eV) |
0.00 |
| Free energy (eV) |
-33.952 |
| Free energy / atom (eV) |
-5.659 |
Lattice Parameters (basic)
| a, b, c (Å): | 3.458 | 3.727 | 30.000 |
| α, β, γ (°): | 90.000 | 90.000 | 90.000 |
Lattice Parameters (computed)
| a, b, c (Å): | 3.470 | 3.768 | 30.000 |
| α, β, γ (°): | 90.000 | 90.000 | 90.000 |
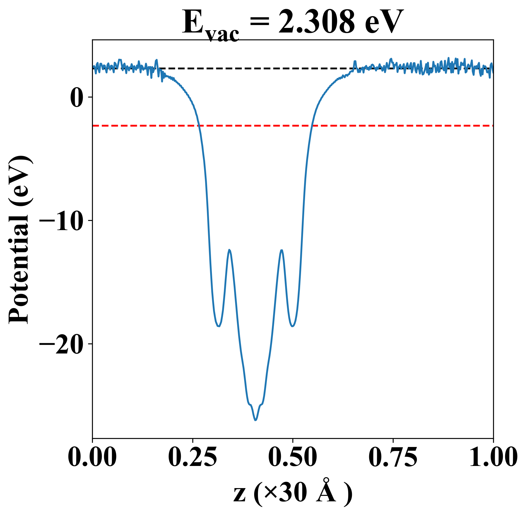
| Property |
Value |
| Band gap |
0.00 eV |
| E-fermi |
-2.337 eV |
| Vacuum level |
2.308 eV |
| VBM |
-2.337 eV |
| CBM |
-2.337 eV |
| Work function |
4.645 eV |
| Direct gap |
No |
| Property |
Value |
| Band gap |
0.00 eV |
| E-fermi |
-2.337 eV |
| Vacuum level |
2.308 eV |
| VBM |
-2.337 eV |
| CBM |
-2.337 eV |
| Work function |
4.645 eV |
| Cij (N/m) |
xx |
yy |
xy |
| xx |
69.025 |
33.253 |
0.000 |
| yy |
33.253 |
109.487 |
0.000 |
| xy |
0.000 |
0.000 |
-0.871 |
| Phonon mode at Γ point (THz) |
| Property |
Value |
| from where |
c2db-264 |