Br2Mo2Se2
MatHub2d-1215-Br2Mo2Se2
| Property |
Value |
| Space group |
(59, 'Pmmn') |
| Crystal system |
rectangular |
| Magnetic |
Yes |
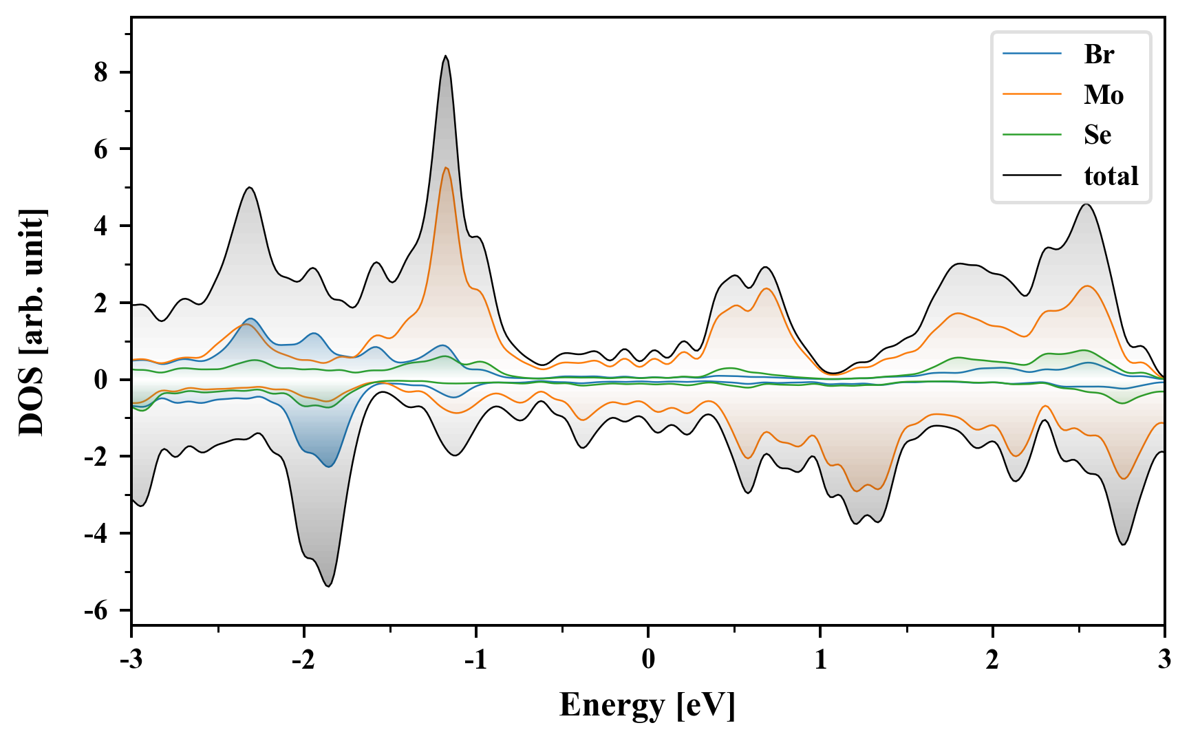
| Band gap (PBE) (eV) |
0.00 |
| Free energy (eV) |
-29.189 |
| Free energy / atom (eV) |
-4.865 |
Lattice Parameters (basic)
| a, b, c (Å): | 3.333 | 4.902 | 30.000 |
| α, β, γ (°): | 90.000 | 90.000 | 90.000 |
Lattice Parameters (computed)
| a, b, c (Å): | 3.664 | 4.978 | 30.000 |
| α, β, γ (°): | 90.000 | 90.000 | 90.000 |
| Property |
Value |
| Band gap |
0.00 eV |
| E-fermi |
-2.502 eV |
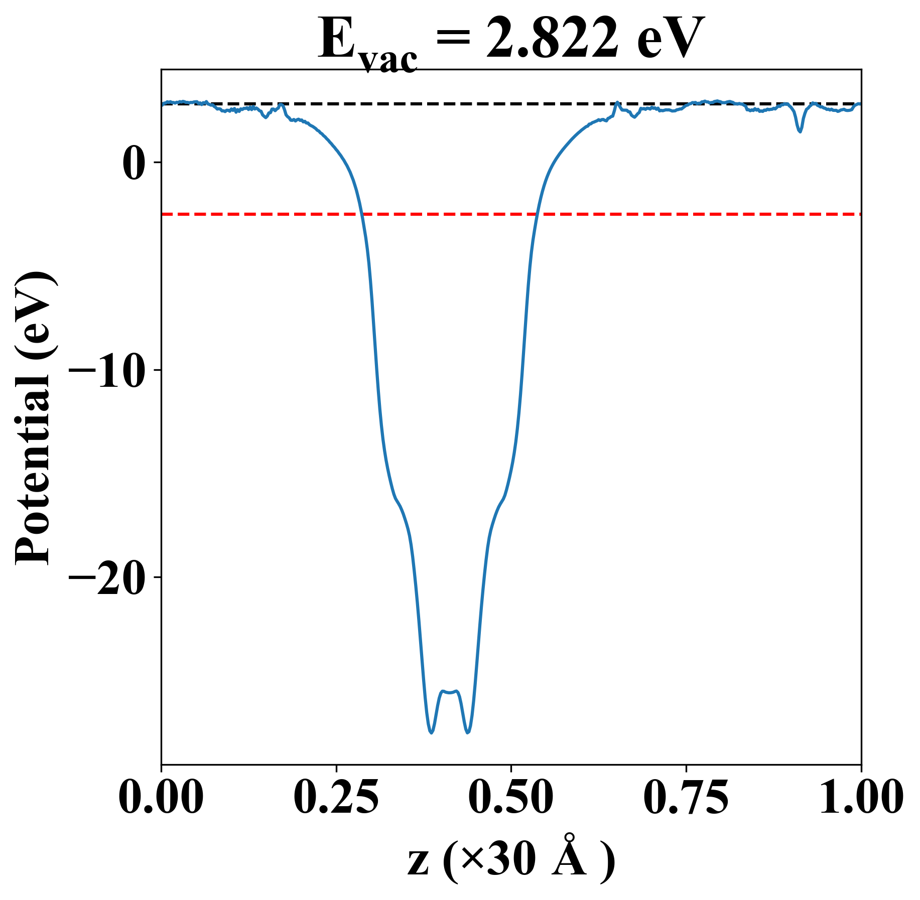
| Vacuum level |
2.822 eV |
| VBM |
-2.502 eV |
| CBM |
-2.501 eV |
| Work function |
5.324 eV |
| Direct gap |
No |
| Property |
Value |
| Band gap |
0.00 eV |
| E-fermi |
-2.502 eV |
| Vacuum level |
2.822 eV |
| VBM |
-2.502 eV |
| CBM |
-2.501 eV |
| Work function |
5.324 eV |
| Cij (N/m) |
xx |
yy |
xy |
| xx |
14.084 |
4.962 |
0.000 |
| yy |
4.962 |
89.675 |
0.000 |
| xy |
0.000 |
0.000 |
20.696 |
| Phonon mode at Γ point (THz) |
| -5.543 |
| -0.003 |
| -0.002 |
| -0.001 |
| 2.679 |
| 2.806 |
| 2.979 |
| 3.431 |
| 3.680 |
| 3.868 |
| 4.209 |
| 4.628 |
| 4.645 |
| 5.744 |
| 6.107 |
| 6.728 |
| 6.827 |
| 6.901 |
| Property |
Value |
| from where |
c2db-223 |