Br2Mo2O2
MatHub2d-1213-Br2Mo2O2
| Property |
Value |
| Space group |
(59, 'Pmmn') |
| Crystal system |
rectangular |
| Magnetic |
|
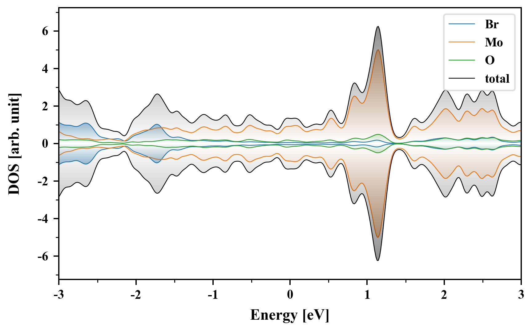
| Band gap (PBE) (eV) |
0.00 |
| Free energy (eV) |
-35.481 |
| Free energy / atom (eV) |
-5.913 |
Lattice Parameters (basic)
| a, b, c (Å): | 3.109 | 4.064 | 30.000 |
| α, β, γ (°): | 90.000 | 90.000 | 90.000 |
Lattice Parameters (computed)
| a, b, c (Å): | 3.122 | 4.087 | 30.000 |
| α, β, γ (°): | 90.000 | 90.000 | 90.000 |
| Property |
Value |
| Band gap |
0.00 eV |
| E-fermi |
-1.598 eV |
| Vacuum level |
3.007 eV |
| VBM |
-1.598 eV |
| CBM |
-1.597 eV |
| Work function |
4.605 eV |
| Direct gap |
No |
| Property |
Value |
| Band gap |
0.00 eV |
| E-fermi |
-1.598 eV |
| Vacuum level |
3.007 eV |
| VBM |
-1.598 eV |
| CBM |
-1.597 eV |
| Work function |
4.605 eV |
| Cij (N/m) |
xx |
yy |
xy |
| xx |
124.472 |
13.932 |
0.000 |
| yy |
13.932 |
281.014 |
0.000 |
| xy |
0.000 |
0.000 |
-5.995 |
| Phonon mode at Γ point (THz) |
| Property |
Value |
| from where |
c2db-221 |