Br2Mn2Se2
MatHub2d-1211-Br2Mn2Se2
| Property |
Value |
| Space group |
(59, 'Pmmn') |
| Crystal system |
rectangular |
| Magnetic |
Yes |
| Band gap (PBE) (eV) |
0.00 |
| Free energy (eV) |
-28.349 |
| Free energy / atom (eV) |
-4.725 |
Lattice Parameters (basic)
| a, b, c (Å): | 3.583 | 5.271 | 30.000 |
| α, β, γ (°): | 90.000 | 90.000 | 90.000 |
Lattice Parameters (computed)
| a, b, c (Å): | 3.724 | 5.250 | 30.000 |
| α, β, γ (°): | 90.000 | 90.000 | 90.000 |
| Property |
Value |
| Band gap |
0.00 eV |
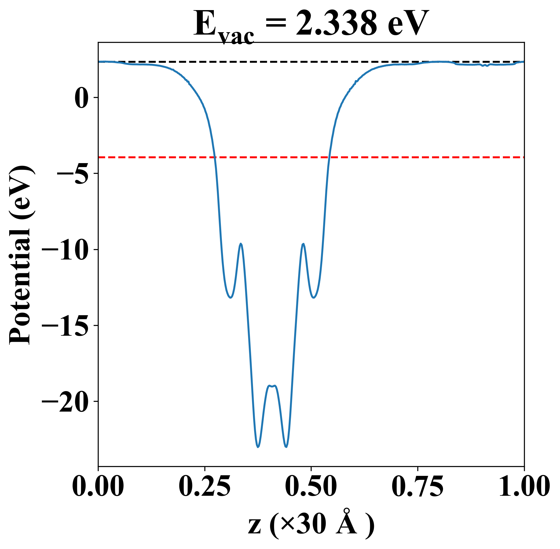
| E-fermi |
-3.952 eV |
| Vacuum level |
2.338 eV |
| VBM |
-3.955 eV |
| CBM |
-3.951 eV |
| Work function |
6.290 eV |
| Direct gap |
No |
| Property |
Value |
| Band gap |
0.00 eV |
| E-fermi |
-3.952 eV |
| Vacuum level |
2.338 eV |
| VBM |
-3.955 eV |
| CBM |
-3.951 eV |
| Work function |
6.290 eV |
| Cij (N/m) |
xx |
yy |
xy |
| xx |
45.216 |
8.001 |
0.000 |
| yy |
8.001 |
17.215 |
0.000 |
| xy |
0.000 |
0.000 |
18.077 |
| Phonon mode at Γ point (THz) |
| -3.772 |
| -3.508 |
| -0.031 |
| -0.015 |
| -0.002 |
| 1.625 |
| 1.839 |
| 2.216 |
| 2.269 |
| 2.434 |
| 2.476 |
| 3.374 |
| 3.608 |
| 3.610 |
| 3.763 |
| 3.854 |
| 5.094 |
| 5.437 |
| Property |
Value |
| from where |
c2db-202 |