Br2Mn2O2
MatHub2d-1209-Br2Mn2O2
| Property |
Value |
| Space group |
(59, 'Pmmn') |
| Crystal system |
rectangular |
| Magnetic |
Yes |
| Band gap (PBE) (eV) |
0.00 |
| Free energy (eV) |
-34.757 |
| Free energy / atom (eV) |
-5.793 |
Lattice Parameters (basic)
| a, b, c (Å): | 3.418 | 3.876 | 30.000 |
| α, β, γ (°): | 90.000 | 90.000 | 90.000 |
Lattice Parameters (computed)
| a, b, c (Å): | 3.441 | 3.910 | 30.000 |
| α, β, γ (°): | 90.000 | 90.000 | 90.000 |
| Property |
Value |
| Band gap |
0.00 eV |
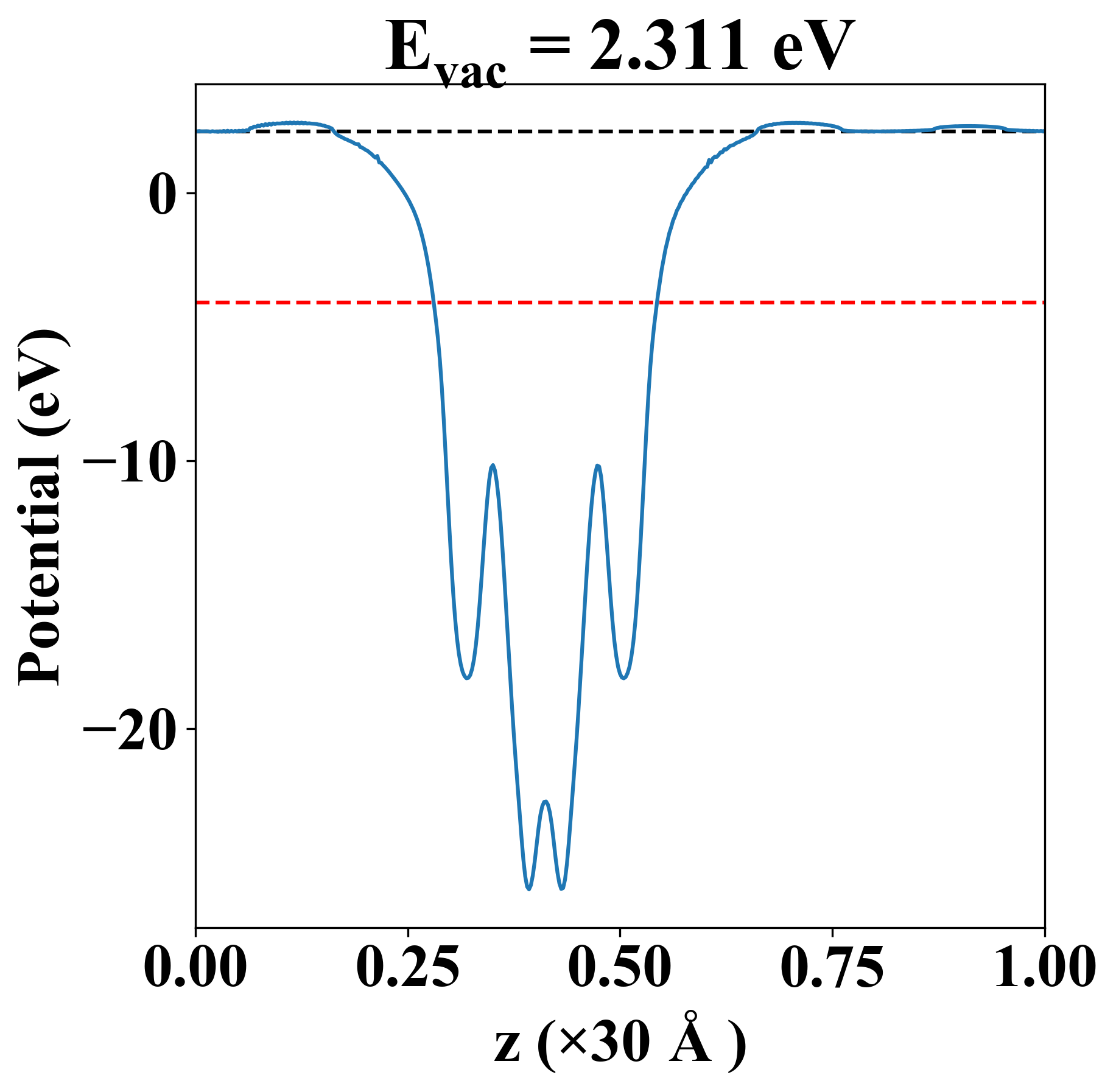
| E-fermi |
-4.095 eV |
| Vacuum level |
2.311 eV |
| VBM |
-4.095 eV |
| CBM |
-4.094 eV |
| Work function |
6.406 eV |
| Direct gap |
No |
| Property |
Value |
| Band gap |
0.00 eV |
| E-fermi |
-4.095 eV |
| Vacuum level |
2.311 eV |
| VBM |
-4.095 eV |
| CBM |
-4.094 eV |
| Work function |
6.406 eV |
| Cij (N/m) |
xx |
yy |
xy |
| xx |
75.338 |
55.753 |
0.000 |
| yy |
55.753 |
14.782 |
0.000 |
| xy |
0.000 |
0.000 |
16.992 |
| Phonon mode at Γ point (THz) |
| Property |
Value |
| from where |
c2db-198 |