Br2Mn2N2
MatHub2d-1208-Br2Mn2N2
| Property |
Value |
| Space group |
(59, 'Pmmn') |
| Crystal system |
rectangular |
| Magnetic |
Yes |
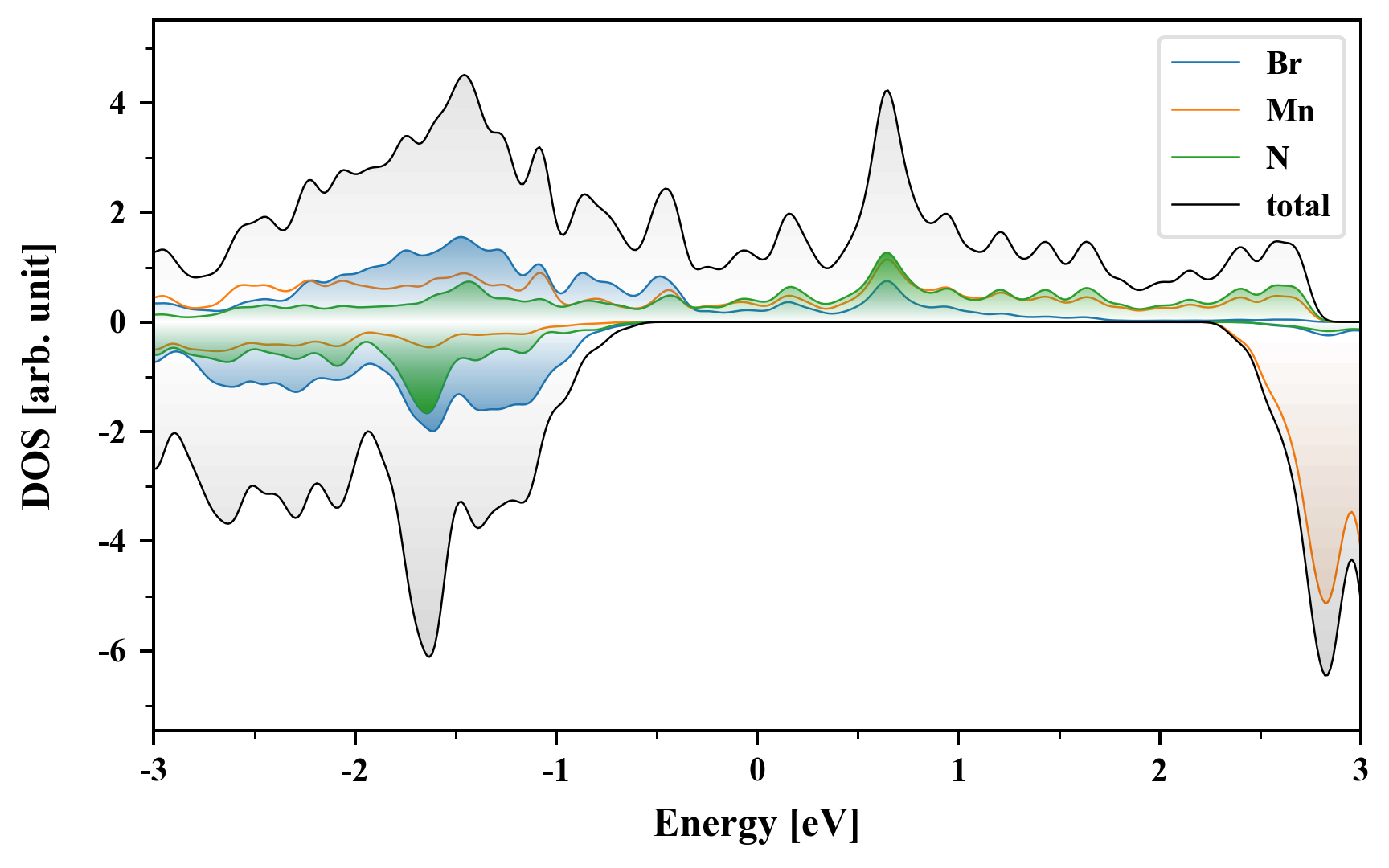
| Band gap (PBE) (eV) |
0.00 |
| Free energy (eV) |
-34.537 |
| Free energy / atom (eV) |
-5.756 |
Lattice Parameters (basic)
| a, b, c (Å): | 3.206 | 3.868 | 30.000 |
| α, β, γ (°): | 90.000 | 90.000 | 90.000 |
Lattice Parameters (computed)
| a, b, c (Å): | 3.383 | 3.941 | 30.000 |
| α, β, γ (°): | 90.000 | 90.000 | 90.000 |
| Property |
Value |
| Band gap |
0.00 eV |
| E-fermi |
-3.670 eV |
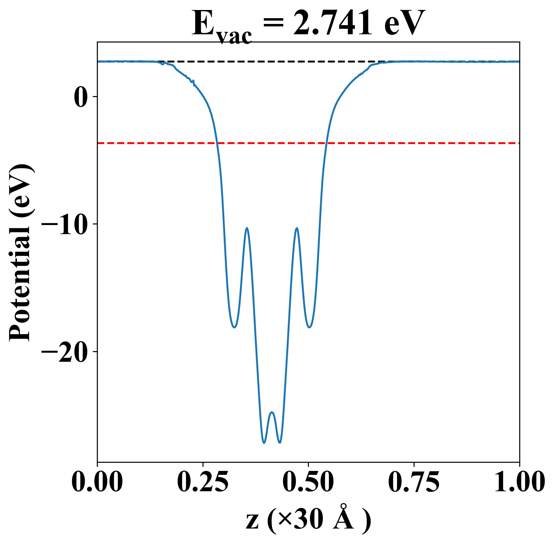
| Vacuum level |
2.741 eV |
| VBM |
-3.671 eV |
| CBM |
-3.668 eV |
| Work function |
6.411 eV |
| Direct gap |
No |
| Property |
Value |
| Band gap |
0.00 eV |
| E-fermi |
-3.670 eV |
| Vacuum level |
2.741 eV |
| VBM |
-3.671 eV |
| CBM |
-3.668 eV |
| Work function |
6.411 eV |
| Cij (N/m) |
xx |
yy |
xy |
| xx |
97.811 |
86.606 |
0.000 |
| yy |
86.606 |
-95.185 |
0.000 |
| xy |
0.000 |
0.000 |
15.252 |
| Phonon mode at Γ point (THz) |
| -13.693 |
| -10.847 |
| -9.519 |
| -6.109 |
| -3.804 |
| -2.914 |
| -2.636 |
| -0.013 |
| -0.011 |
| 0.007 |
| 2.012 |
| 3.053 |
| 3.208 |
| 3.742 |
| 3.904 |
| 3.962 |
| 5.612 |
| 6.045 |
| Property |
Value |
| from where |
c2db-196 |