Br2Lu2S2
MatHub2d-1207-Br2Lu2S2
| Property |
Value |
| Space group |
(59, 'Pmmn') |
| Crystal system |
rectangular |
| Magnetic |
No |
| Band gap (PBE) (eV) |
3.03 |
| Free energy (eV) |
-32.498 |
| Free energy / atom (eV) |
-5.416 |
Lattice Parameters (basic)
| a, b, c (Å): | 3.923 | 5.241 | 30.000 |
| α, β, γ (°): | 90.000 | 90.000 | 90.000 |
Lattice Parameters (computed)
| a, b, c (Å): | 3.948 | 5.271 | 30.000 |
| α, β, γ (°): | 90.000 | 90.000 | 90.000 |
| Property |
Value |
| Band gap |
3.03 eV |
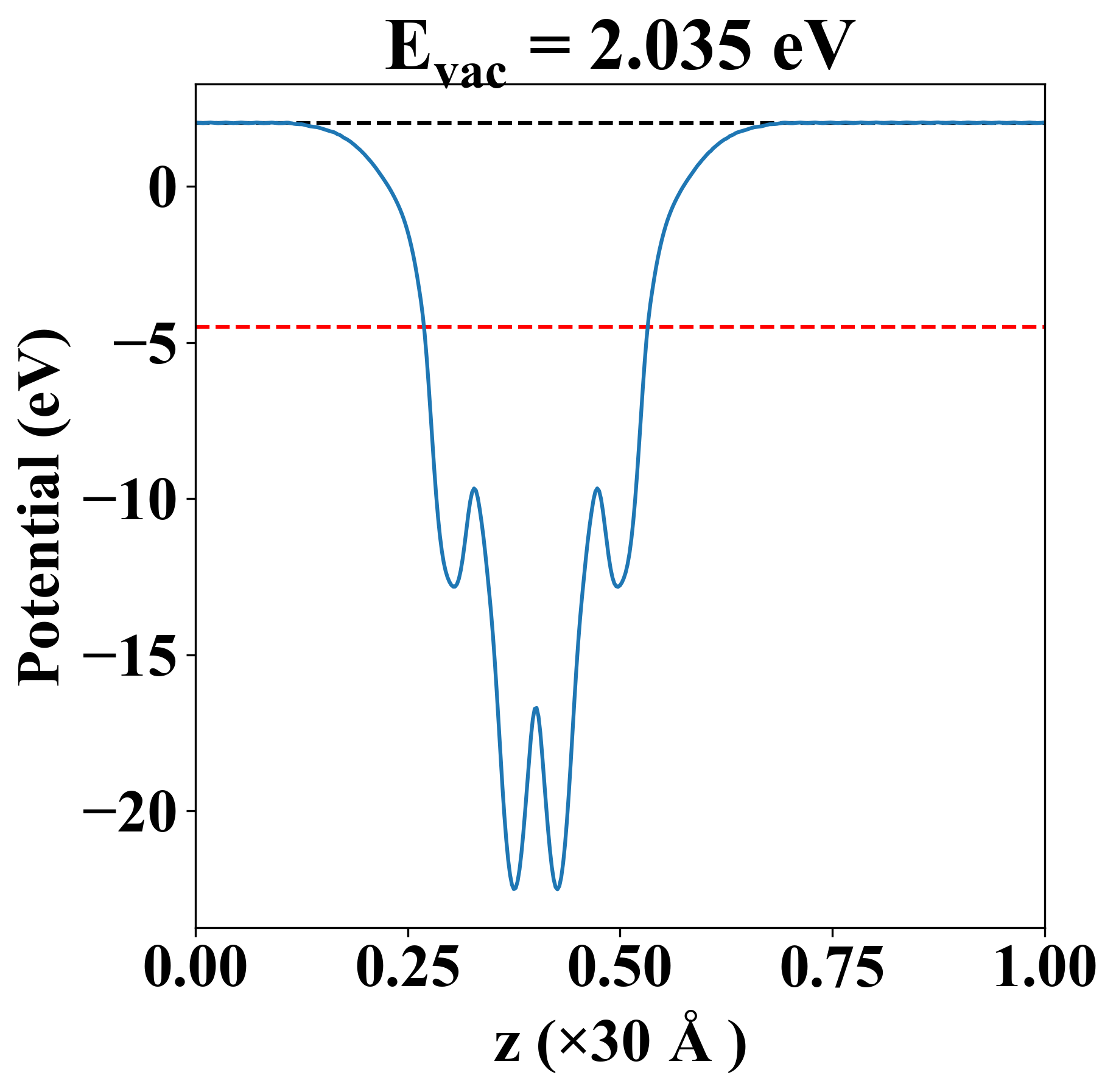
| E-fermi |
-4.506 eV |
| Vacuum level |
2.035 eV |
| VBM |
-4.805 eV |
| CBM |
-1.772 eV |
| Work function |
6.541 eV |
| Direct gap |
Yes |
| Property |
Value |
| Band gap |
2.93 eV |
| E-fermi |
-4.509 eV |
| VBM |
-4.720 eV |
| CBM |
-1.790 eV |
| Free energy (eV) |
-33.194 |
| Free energy / atom (eV) |
-5.532 |
| Property |
Value |
| Band gap |
3.03 eV |
| E-fermi |
-4.506 eV |
| Vacuum level |
2.035 eV |
| VBM |
-4.805 eV |
| CBM |
-1.772 eV |
| Work function |
6.541 eV |
| Cij (N/m) |
xx |
yy |
xy |
| xx |
62.030 |
11.220 |
0.000 |
| yy |
11.220 |
87.323 |
0.000 |
| xy |
0.000 |
0.000 |
19.662 |
| Phonon mode at Γ point (THz) |
| Property |
Value |
| from where |
JVASP-6205 |