Br2Ir2Se2
MatHub2d-1206-Br2Ir2Se2
| Property |
Value |
| Space group |
(59, 'Pmmn') |
| Crystal system |
rectangular |
| Magnetic |
No |
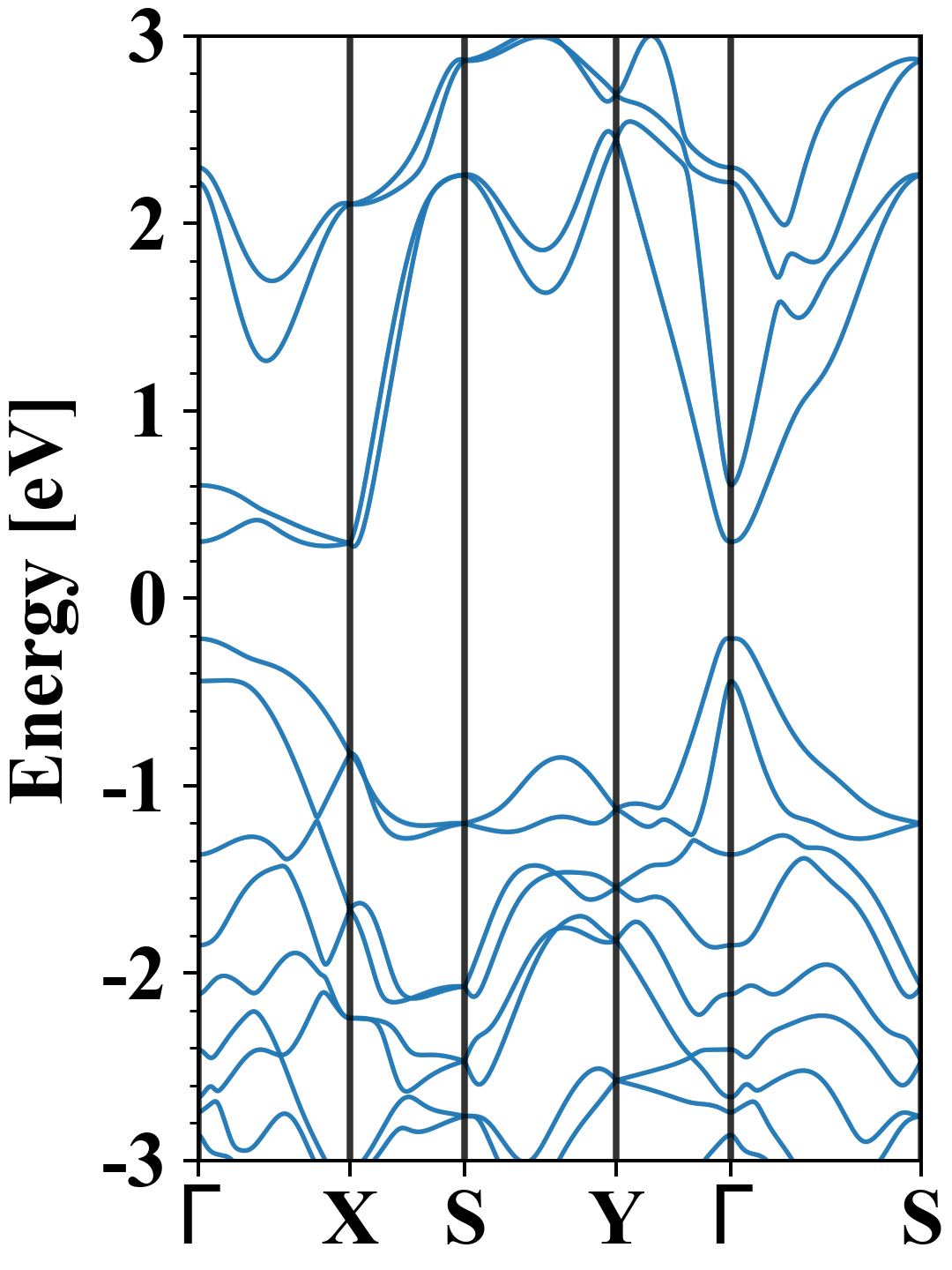
| Band gap (PBE) (eV) |
0.35 |
| Free energy (eV) |
-24.832 |
| Free energy / atom (eV) |
-4.139 |
Lattice Parameters (basic)
| a, b, c (Å): | 3.730 | 4.924 | 30.000 |
| α, β, γ (°): | 90.000 | 90.000 | 90.000 |
Lattice Parameters (computed)
| a, b, c (Å): | 3.721 | 4.917 | 30.000 |
| α, β, γ (°): | 90.000 | 90.000 | 90.000 |
| Property |
Value |
| Band gap |
0.35 eV |
| E-fermi |
-3.127 eV |
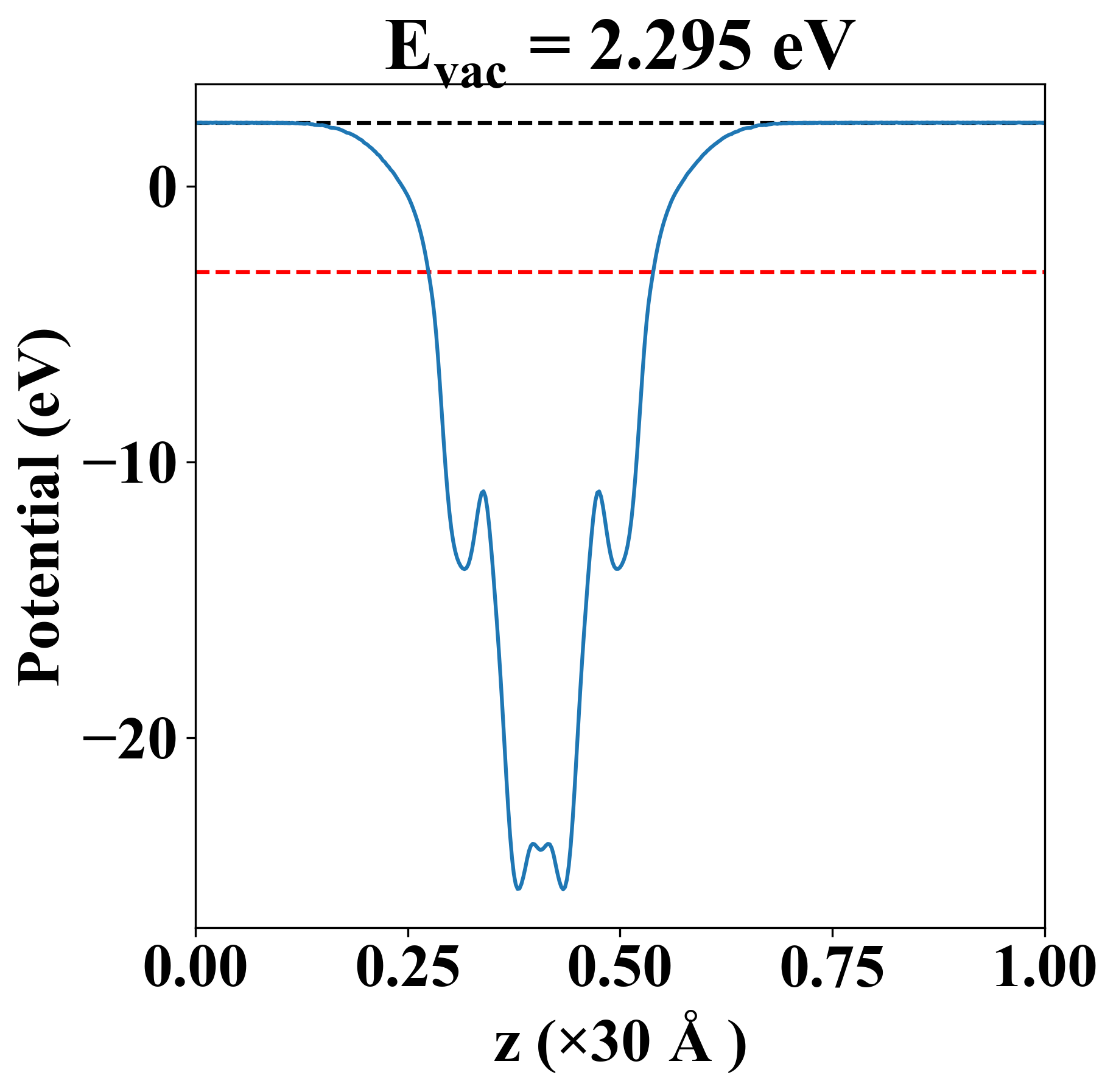
| Vacuum level |
2.295 eV |
| VBM |
-3.300 eV |
| CBM |
-2.950 eV |
| Work function |
5.423 eV |
| Direct gap |
Yes |
| Property |
Value |
| Band gap |
0.49 eV |
| E-fermi |
-3.102 eV |
| VBM |
-3.316 eV |
| CBM |
-2.827 eV |
| Free energy (eV) |
-25.739 |
| Free energy / atom (eV) |
-4.290 |
| Property |
Value |
| Band gap |
0.35 eV |
| E-fermi |
-3.127 eV |
| Vacuum level |
2.295 eV |
| VBM |
-3.300 eV |
| CBM |
-2.950 eV |
| Work function |
5.423 eV |
| Cij (N/m) |
xx |
yy |
xy |
| xx |
95.393 |
10.941 |
0.000 |
| yy |
10.941 |
139.372 |
0.000 |
| xy |
0.000 |
0.000 |
23.765 |
| Phonon mode at Γ point (THz) |
| -0.002 |
| -0.002 |
| -0.001 |
| 1.371 |
| 1.927 |
| 2.441 |
| 3.387 |
| 4.427 |
| 4.724 |
| 4.727 |
| 5.454 |
| 5.566 |
| 5.671 |
| 6.915 |
| 7.053 |
| 7.085 |
| 7.358 |
| 7.743 |
| Property |
Value |
| from where |
c2db-187 |