Br2Ir2S2
MatHub2d-1205-Br2Ir2S2
| Property |
Value |
| Space group |
(59, 'Pmmn') |
| Crystal system |
rectangular |
| Magnetic |
No |
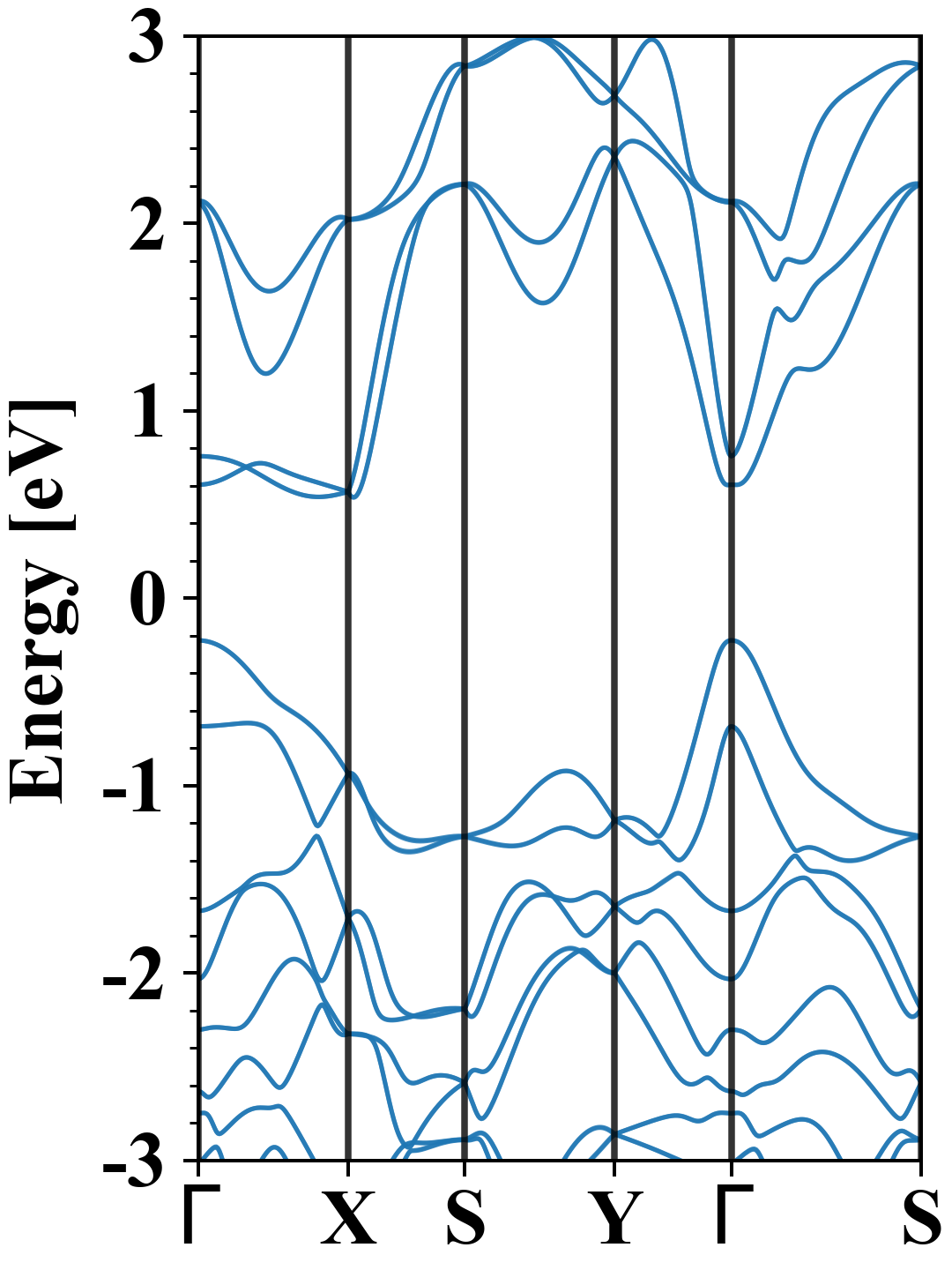
| Band gap (PBE) (eV) |
0.66 |
| Free energy (eV) |
-26.491 |
| Free energy / atom (eV) |
-4.415 |
Lattice Parameters (basic)
| a, b, c (Å): | 3.614 | 4.634 | 30.000 |
| α, β, γ (°): | 90.000 | 90.000 | 90.000 |
Lattice Parameters (computed)
| a, b, c (Å): | 3.607 | 4.641 | 30.000 |
| α, β, γ (°): | 90.000 | 90.000 | 90.000 |
| Property |
Value |
| Band gap |
0.66 eV |
| E-fermi |
-2.853 eV |
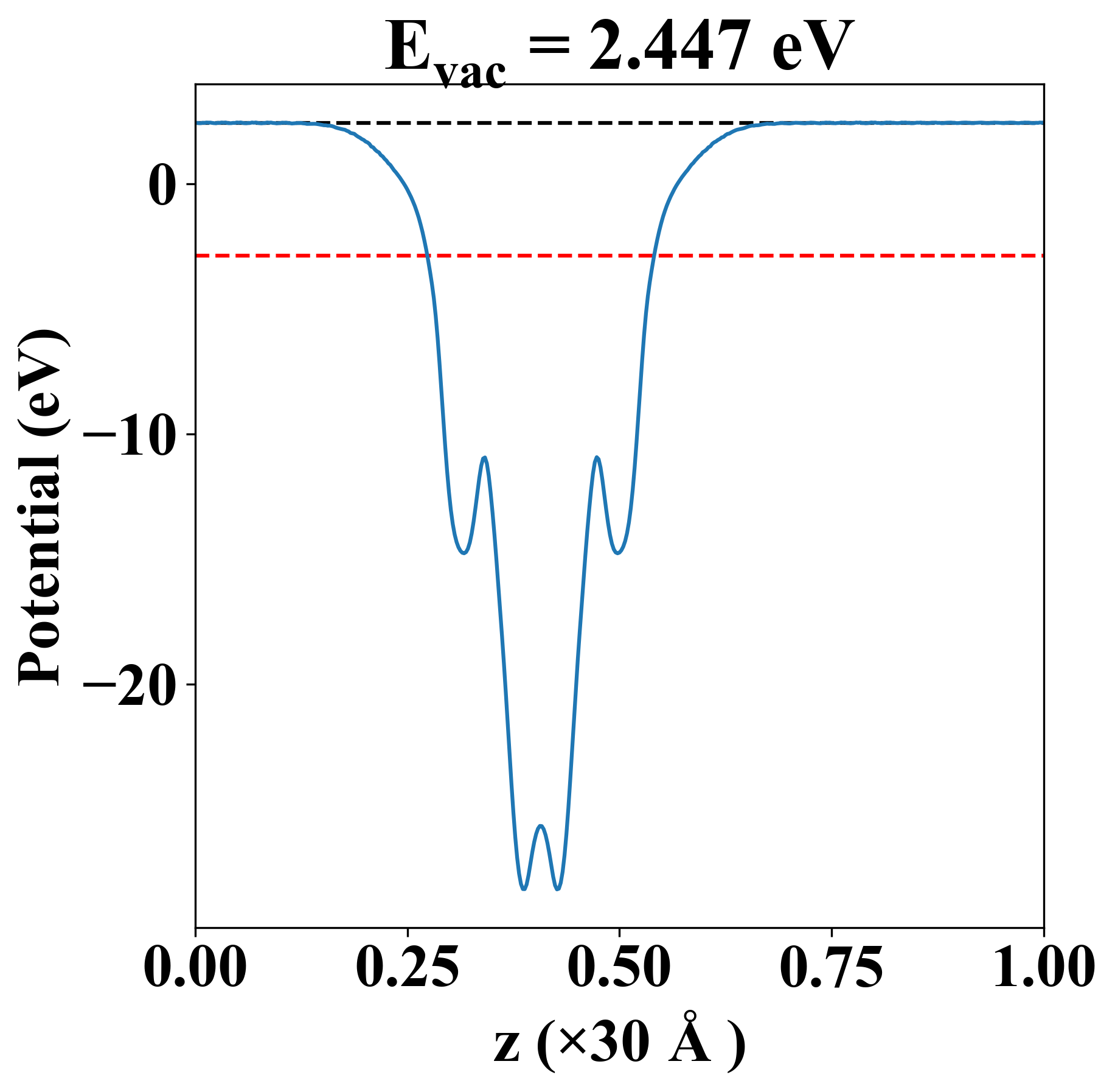
| Vacuum level |
2.447 eV |
| VBM |
-3.114 eV |
| CBM |
-2.457 eV |
| Work function |
5.300 eV |
| Direct gap |
No |
| Property |
Value |
| Band gap |
0.76 eV |
| E-fermi |
-2.885 eV |
| VBM |
-3.110 eV |
| CBM |
-2.348 eV |
| Free energy (eV) |
-27.359 |
| Free energy / atom (eV) |
-4.560 |
| Property |
Value |
| Band gap |
0.66 eV |
| E-fermi |
-2.853 eV |
| Vacuum level |
2.447 eV |
| VBM |
-3.114 eV |
| CBM |
-2.457 eV |
| Work function |
5.300 eV |
| Cij (N/m) |
xx |
yy |
xy |
| xx |
102.774 |
10.175 |
0.000 |
| yy |
10.175 |
167.942 |
0.000 |
| xy |
0.000 |
0.000 |
28.187 |
| Phonon mode at Γ point (THz) |
| -0.004 |
| -0.001 |
| -0.001 |
| 1.448 |
| 2.049 |
| 3.028 |
| 3.881 |
| 4.884 |
| 5.220 |
| 5.283 |
| 5.741 |
| 6.159 |
| 8.292 |
| 10.700 |
| 10.814 |
| 10.992 |
| 11.426 |
| 12.478 |
| Property |
Value |
| from where |
c2db-186 |