Br2Ir2O2
MatHub2d-1204-Br2Ir2O2
| Property |
Value |
| Space group |
(59, 'Pmmn') |
| Crystal system |
rectangular |
| Magnetic |
No |
| Band gap (PBE) (eV) |
0.96 |
| Free energy (eV) |
-27.934 |
| Free energy / atom (eV) |
-4.656 |
Lattice Parameters (basic)
| a, b, c (Å): | 3.457 | 4.066 | 30.000 |
| α, β, γ (°): | 90.000 | 90.000 | 90.000 |
Lattice Parameters (computed)
| a, b, c (Å): | 3.422 | 4.089 | 30.000 |
| α, β, γ (°): | 90.000 | 90.000 | 90.000 |
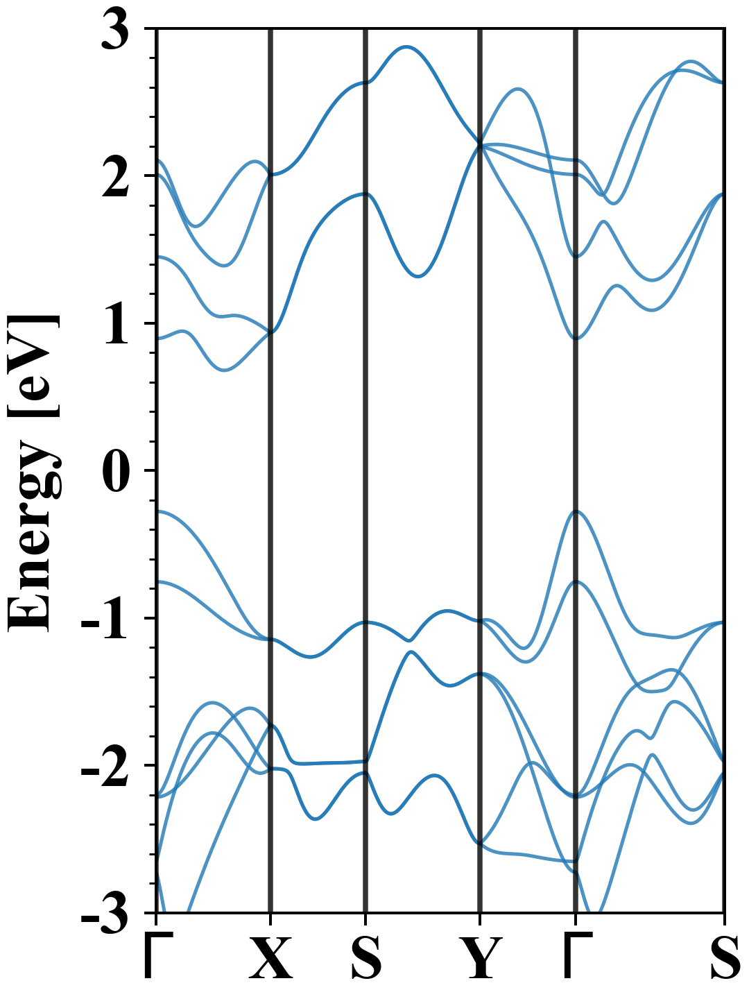
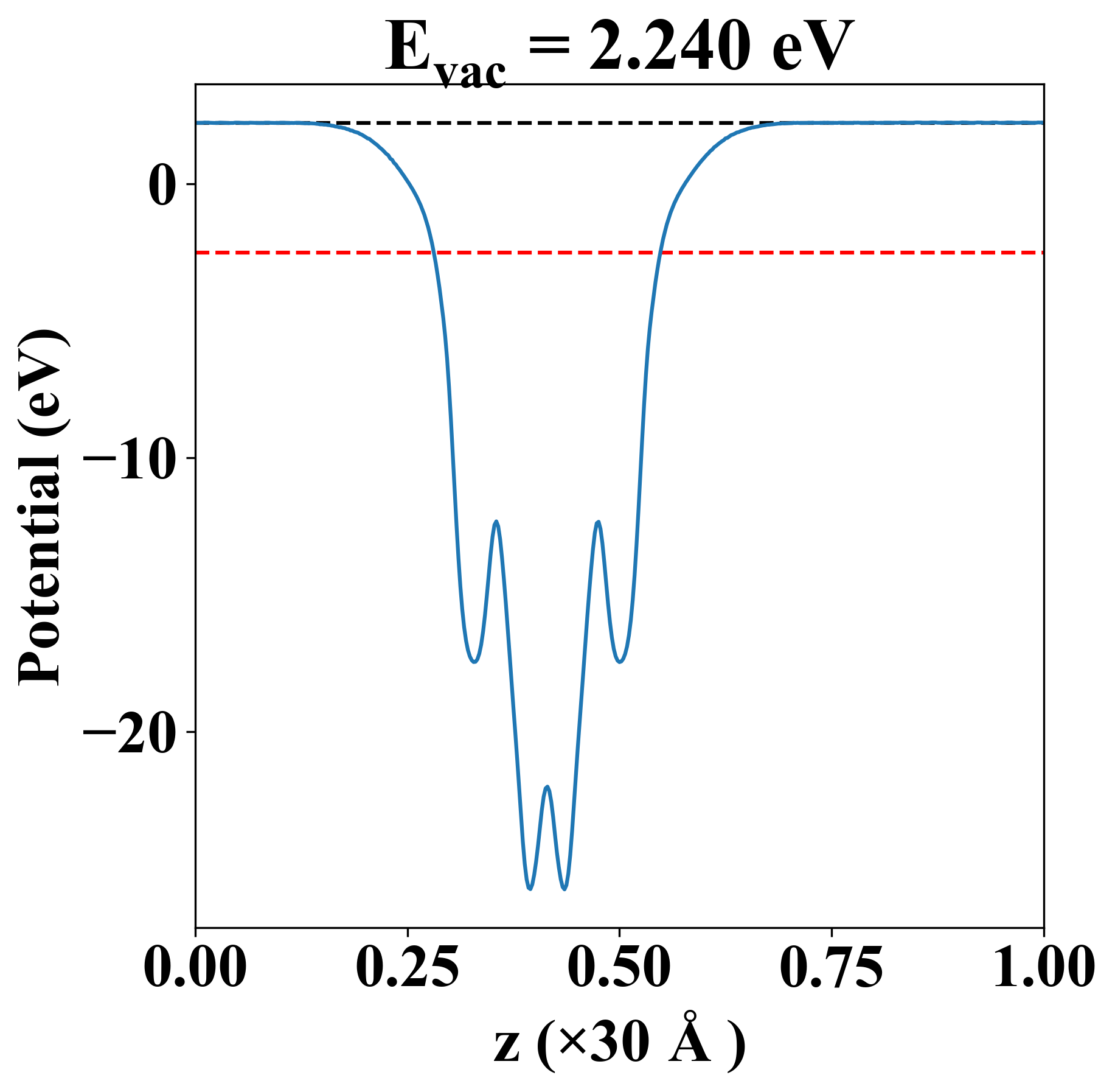
| Property |
Value |
| Band gap |
0.96 eV |
| E-fermi |
-2.501 eV |
| Vacuum level |
2.240 eV |
| VBM |
-2.778 eV |
| CBM |
-1.822 eV |
| Work function |
4.741 eV |
| Direct gap |
No |
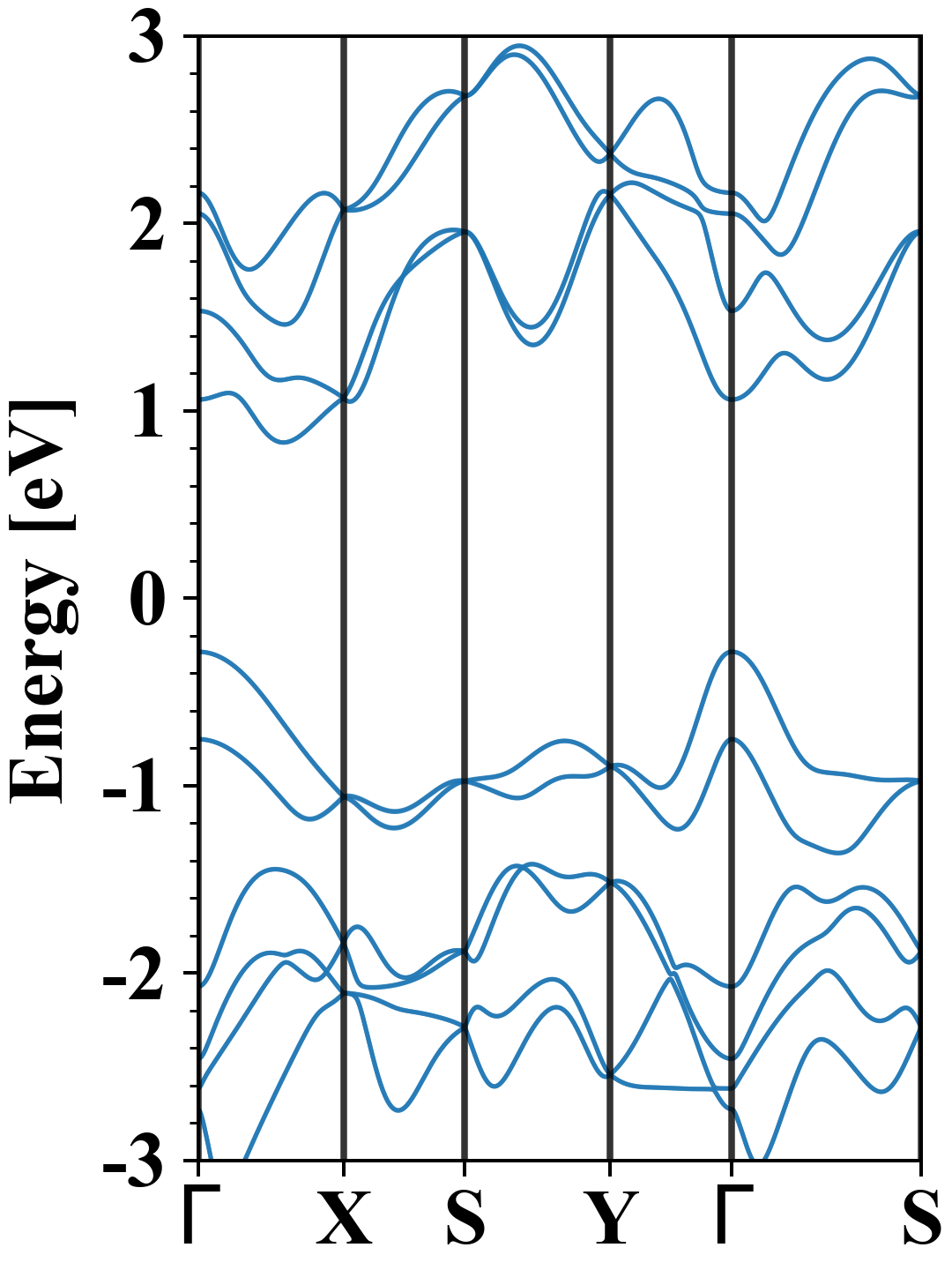
| Property |
Value |
| Band gap |
1.12 eV |
| E-fermi |
-2.550 eV |
| VBM |
-2.835 eV |
| CBM |
-1.719 eV |
| Free energy (eV) |
-29.008 |
| Free energy / atom (eV) |
-4.835 |
| Property |
Value |
| Band gap |
0.96 eV |
| E-fermi |
-2.501 eV |
| Vacuum level |
2.240 eV |
| VBM |
-2.778 eV |
| CBM |
-1.822 eV |
| Work function |
4.741 eV |
| Cij (N/m) |
xx |
yy |
xy |
| xx |
88.009 |
10.830 |
0.000 |
| yy |
10.830 |
217.726 |
0.000 |
| xy |
0.000 |
0.000 |
13.804 |
| Phonon mode at Γ point (THz) |
| -0.014 |
| -0.005 |
| -0.002 |
| 1.410 |
| 2.208 |
| 3.110 |
| 3.954 |
| 5.264 |
| 6.350 |
| 6.445 |
| 6.511 |
| 6.708 |
| 12.702 |
| 13.592 |
| 14.068 |
| 14.459 |
| 15.202 |
| 15.694 |
| Property |
Value |
| from where |
c2db-185 |