Br2In2Se2
MatHub2d-1202-Br2In2Se2
| Property |
Value |
| Space group |
(59, 'Pmmn') |
| Crystal system |
rectangular |
| Magnetic |
No |
| Band gap (PBE) (eV) |
1.24 |
| Free energy (eV) |
-19.164 |
| Free energy / atom (eV) |
-3.194 |
Lattice Parameters (basic)
| a, b, c (Å): | 3.918 | 5.697 | 30.000 |
| α, β, γ (°): | 90.000 | 90.000 | 90.000 |
Lattice Parameters (computed)
| a, b, c (Å): | 3.905 | 5.684 | 30.000 |
| α, β, γ (°): | 90.000 | 90.000 | 90.000 |
| Property |
Value |
| Band gap |
1.24 eV |
| E-fermi |
-3.546 eV |
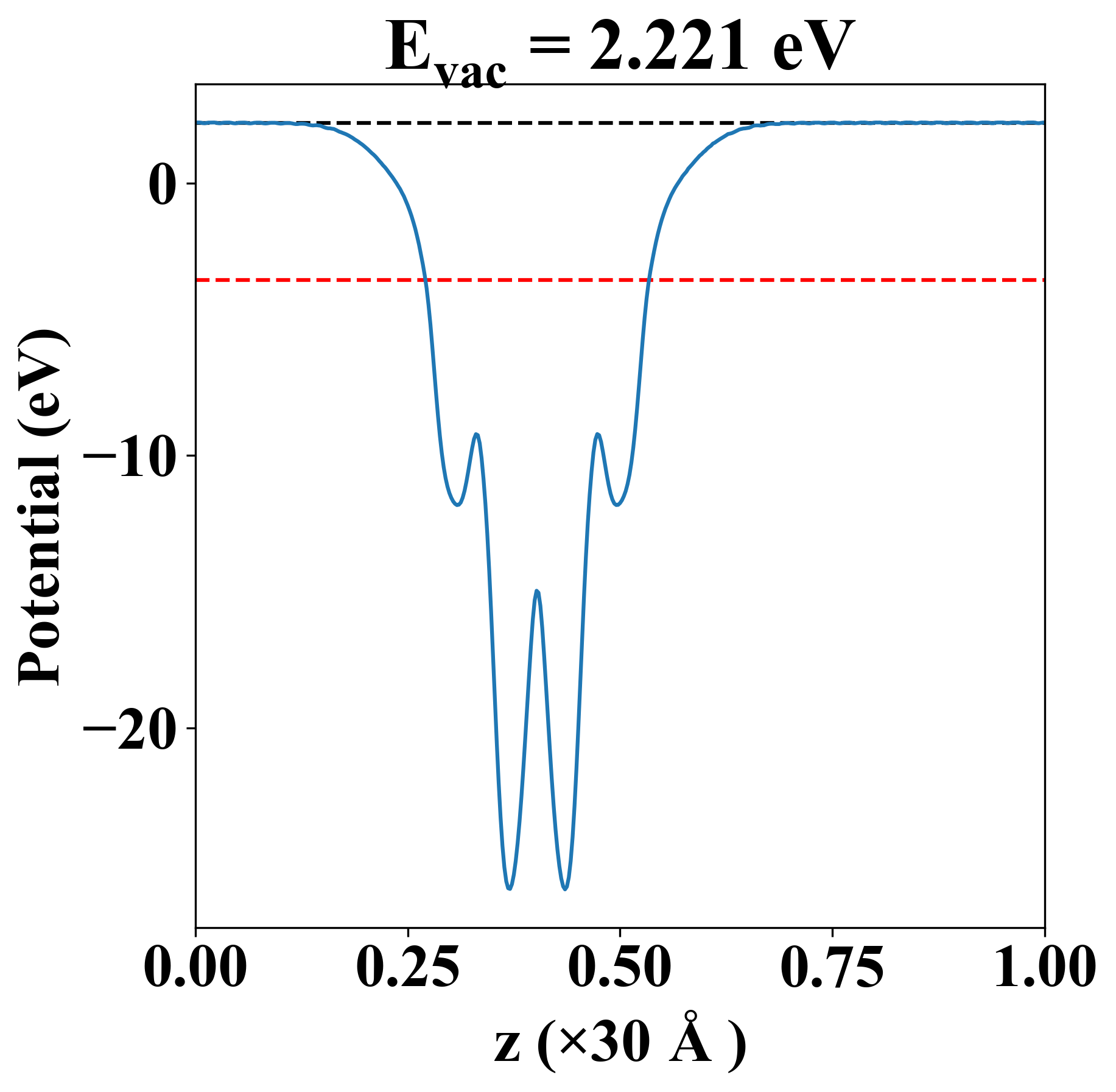
| Vacuum level |
2.221 eV |
| VBM |
-3.860 eV |
| CBM |
-2.618 eV |
| Work function |
5.767 eV |
| Direct gap |
Yes |
| Property |
Value |
| Band gap |
1.24 eV |
| E-fermi |
-3.580 eV |
| VBM |
-3.851 eV |
| CBM |
-2.609 eV |
| Free energy (eV) |
-19.331 |
| Free energy / atom (eV) |
-3.222 |
| Property |
Value |
| Band gap |
1.24 eV |
| E-fermi |
-3.546 eV |
| Vacuum level |
2.221 eV |
| VBM |
-3.860 eV |
| CBM |
-2.618 eV |
| Work function |
5.767 eV |
| Cij (N/m) |
xx |
yy |
xy |
| xx |
62.637 |
8.111 |
0.000 |
| yy |
8.111 |
43.232 |
0.000 |
| xy |
0.000 |
0.000 |
15.574 |
| Phonon mode at Γ point (THz) |
| -0.022 |
| -0.005 |
| -0.004 |
| 1.206 |
| 1.225 |
| 1.304 |
| 1.442 |
| 1.574 |
| 1.950 |
| 2.358 |
| 2.811 |
| 4.304 |
| 4.567 |
| 4.594 |
| 4.644 |
| 5.536 |
| 5.819 |
| 6.210 |
| Property |
Value |
| from where |
c2db-175 |