Br2In2O2
MatHub2d-1200-Br2In2O2
| Property |
Value |
| Space group |
(59, 'Pmmn') |
| Crystal system |
rectangular |
| Magnetic |
No |
| Band gap (PBE) (eV) |
2.40 |
| Free energy (eV) |
-25.964 |
| Free energy / atom (eV) |
-4.327 |
Lattice Parameters (basic)
| a, b, c (Å): | 3.674 | 4.120 | 30.000 |
| α, β, γ (°): | 90.000 | 90.000 | 90.000 |
Lattice Parameters (computed)
| a, b, c (Å): | 3.659 | 4.114 | 30.000 |
| α, β, γ (°): | 90.000 | 90.000 | 90.000 |
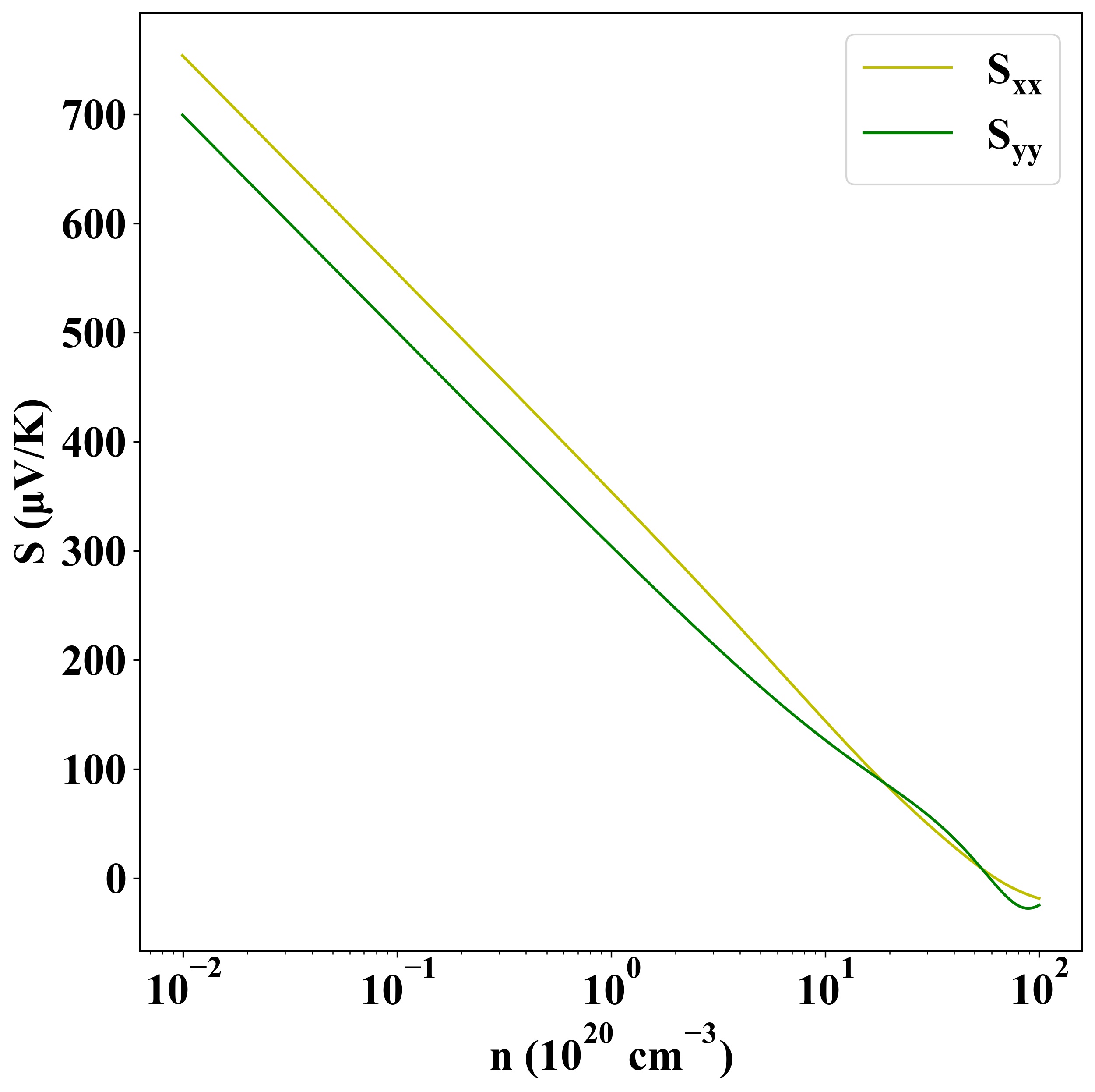
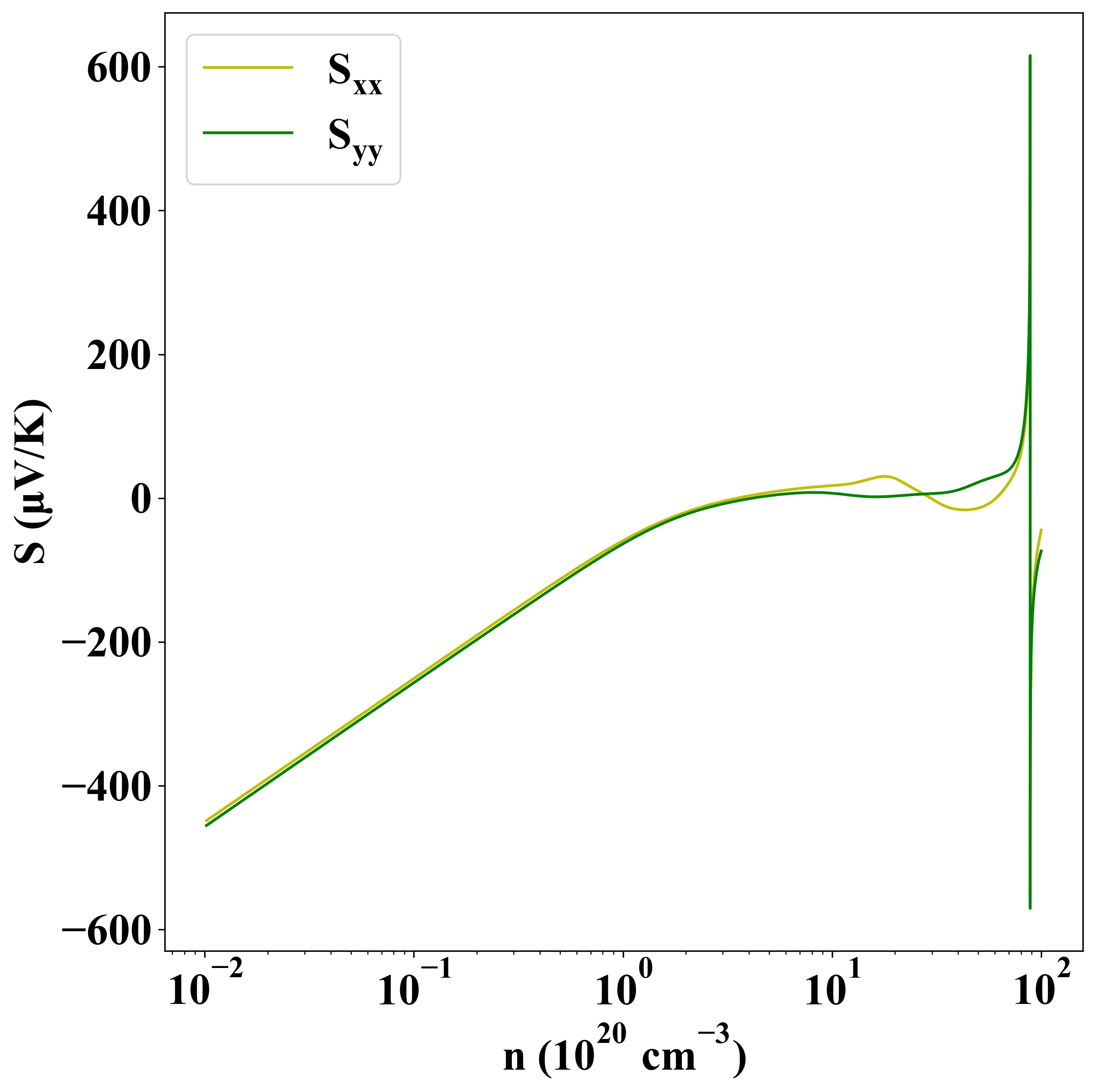
| Property |
Value |
| Band gap |
2.40 eV |
| E-fermi |
-4.256 eV |
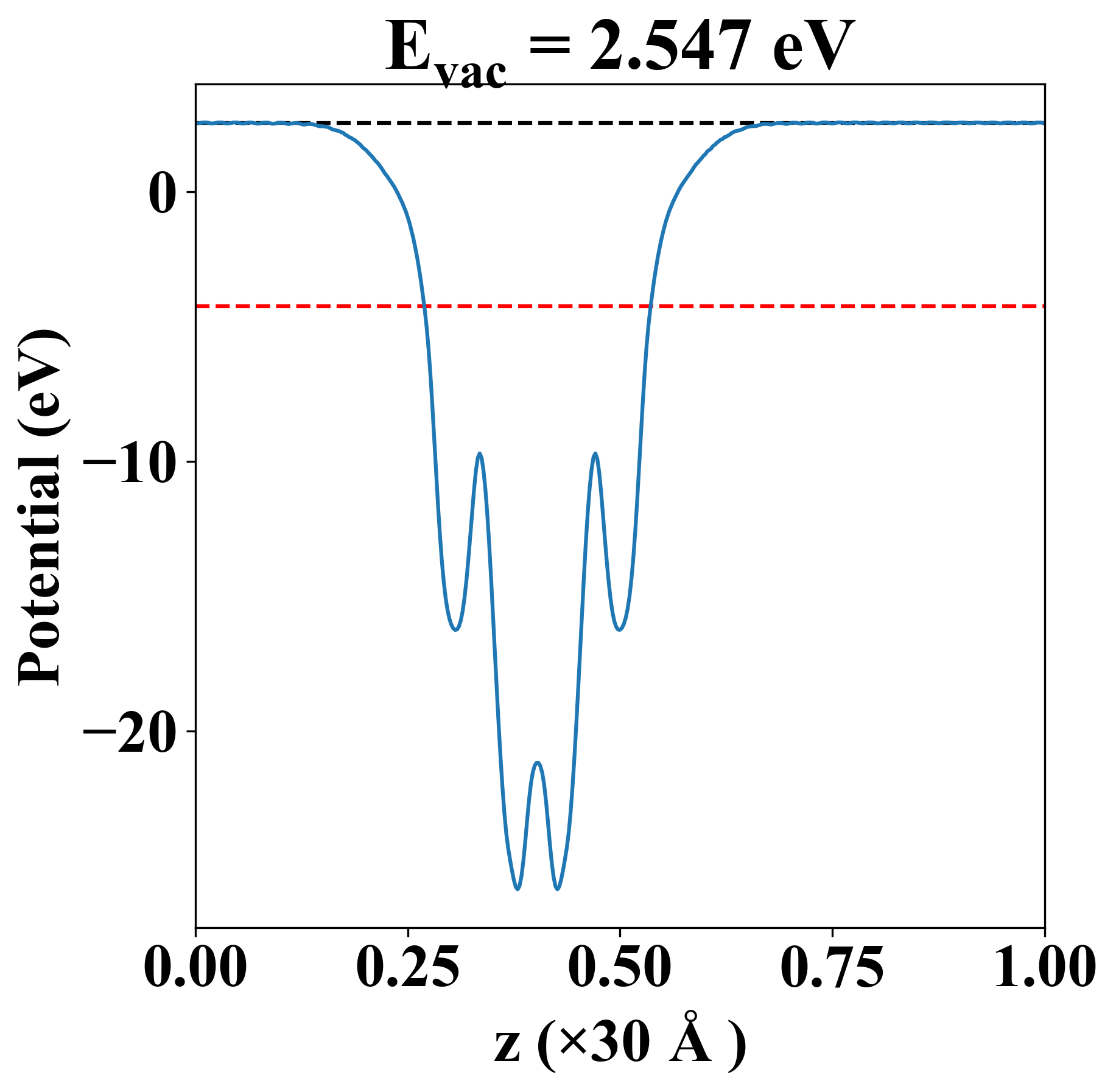
| Vacuum level |
2.547 eV |
| VBM |
-4.546 eV |
| CBM |
-2.147 eV |
| Work function |
6.803 eV |
| Direct gap |
No |
| Property |
Value |
| Band gap |
2.37 eV |
| E-fermi |
-4.251 eV |
| VBM |
-4.524 eV |
| CBM |
-2.157 eV |
| Free energy (eV) |
-26.080 |
| Free energy / atom (eV) |
-4.347 |
| Property |
Value |
| Band gap |
2.40 eV |
| E-fermi |
-4.256 eV |
| Vacuum level |
2.547 eV |
| VBM |
-4.546 eV |
| CBM |
-2.147 eV |
| Work function |
6.803 eV |
| Cij (N/m) |
xx |
yy |
xy |
| xx |
96.733 |
31.219 |
0.000 |
| yy |
31.219 |
84.649 |
0.000 |
| xy |
0.000 |
0.000 |
34.790 |
| Phonon mode at Γ point (THz) |
| -0.009 |
| -0.007 |
| -0.006 |
| 1.206 |
| 1.608 |
| 1.927 |
| 3.141 |
| 3.517 |
| 4.083 |
| 4.416 |
| 6.029 |
| 6.864 |
| 8.156 |
| 9.669 |
| 12.216 |
| 13.398 |
| 13.718 |
| 17.806 |
| Property |
Value |
| from where |
c2db-173 |