Br2Hg2S2
MatHub2d-1197-Br2Hg2S2
| Property |
Value |
| Space group |
(59, 'Pmmn') |
| Crystal system |
rectangular |
| Magnetic |
No |
| Band gap (PBE) (eV) |
0.00 |
| Free energy (eV) |
-11.421 |
| Free energy / atom (eV) |
-1.904 |
Lattice Parameters (basic)
| a, b, c (Å): | 3.930 | 4.248 | 30.000 |
| α, β, γ (°): | 90.000 | 90.000 | 90.000 |
Lattice Parameters (computed)
| a, b, c (Å): | 3.936 | 4.246 | 30.000 |
| α, β, γ (°): | 90.000 | 90.000 | 90.000 |
| Property |
Value |
| Band gap |
0.00 eV |
| E-fermi |
-3.211 eV |
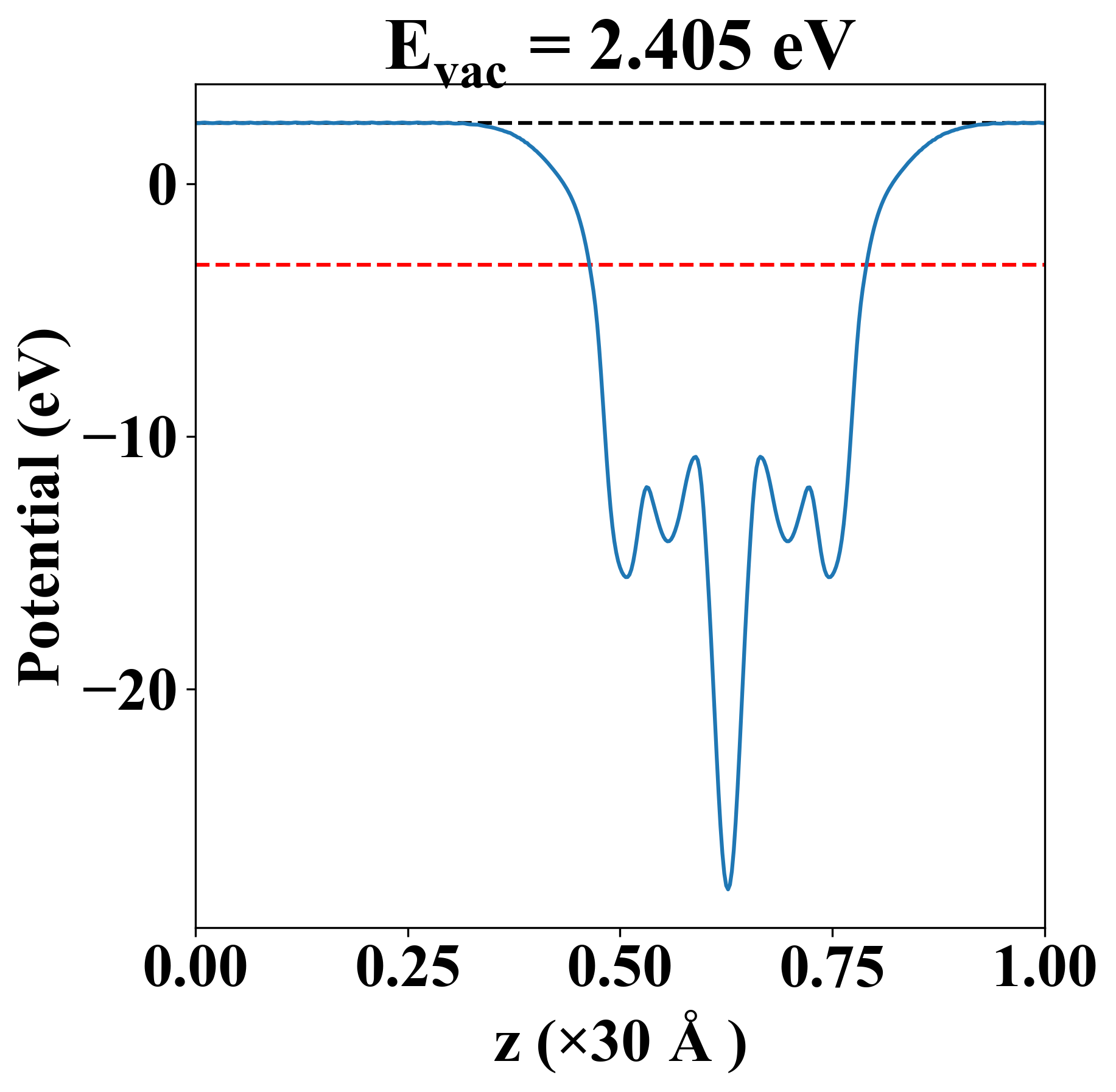
| Vacuum level |
2.405 eV |
| VBM |
-3.213 eV |
| CBM |
-3.210 eV |
| Work function |
5.616 eV |
| Direct gap |
No |
| Property |
Value |
| Band gap |
0.00 eV |
| E-fermi |
-3.211 eV |
| Vacuum level |
2.405 eV |
| VBM |
-3.213 eV |
| CBM |
-3.210 eV |
| Work function |
5.616 eV |
| Cij (N/m) |
xx |
yy |
xy |
| xx |
14.963 |
10.480 |
0.000 |
| yy |
10.480 |
47.171 |
0.000 |
| xy |
0.000 |
0.000 |
-13.732 |
| Phonon mode at Γ point (THz) |
| -1.022 |
| -0.882 |
| -0.594 |
| -0.004 |
| -0.003 |
| 0.002 |
| 0.732 |
| 1.526 |
| 1.589 |
| 2.494 |
| 2.942 |
| 2.974 |
| 4.128 |
| 4.163 |
| 4.916 |
| 5.316 |
| 5.345 |
| 5.863 |
| Property |
Value |
| from where |
c2db-161 |