Br2Hf2Se2
MatHub2d-1194-Br2Hf2Se2
| Property |
Value |
| Space group |
(59, 'Pmmn') |
| Crystal system |
rectangular |
| Magnetic |
No |
| Band gap (PBE) (eV) |
0.00 |
| Free energy (eV) |
-37.966 |
| Free energy / atom (eV) |
-6.328 |
Lattice Parameters (basic)
| a, b, c (Å): | 3.710 | 5.270 | 30.000 |
| α, β, γ (°): | 90.000 | 90.000 | 90.000 |
Lattice Parameters (computed)
| a, b, c (Å): | 3.713 | 5.251 | 30.000 |
| α, β, γ (°): | 90.000 | 90.000 | 90.000 |
| Property |
Value |
| Band gap |
0.00 eV |
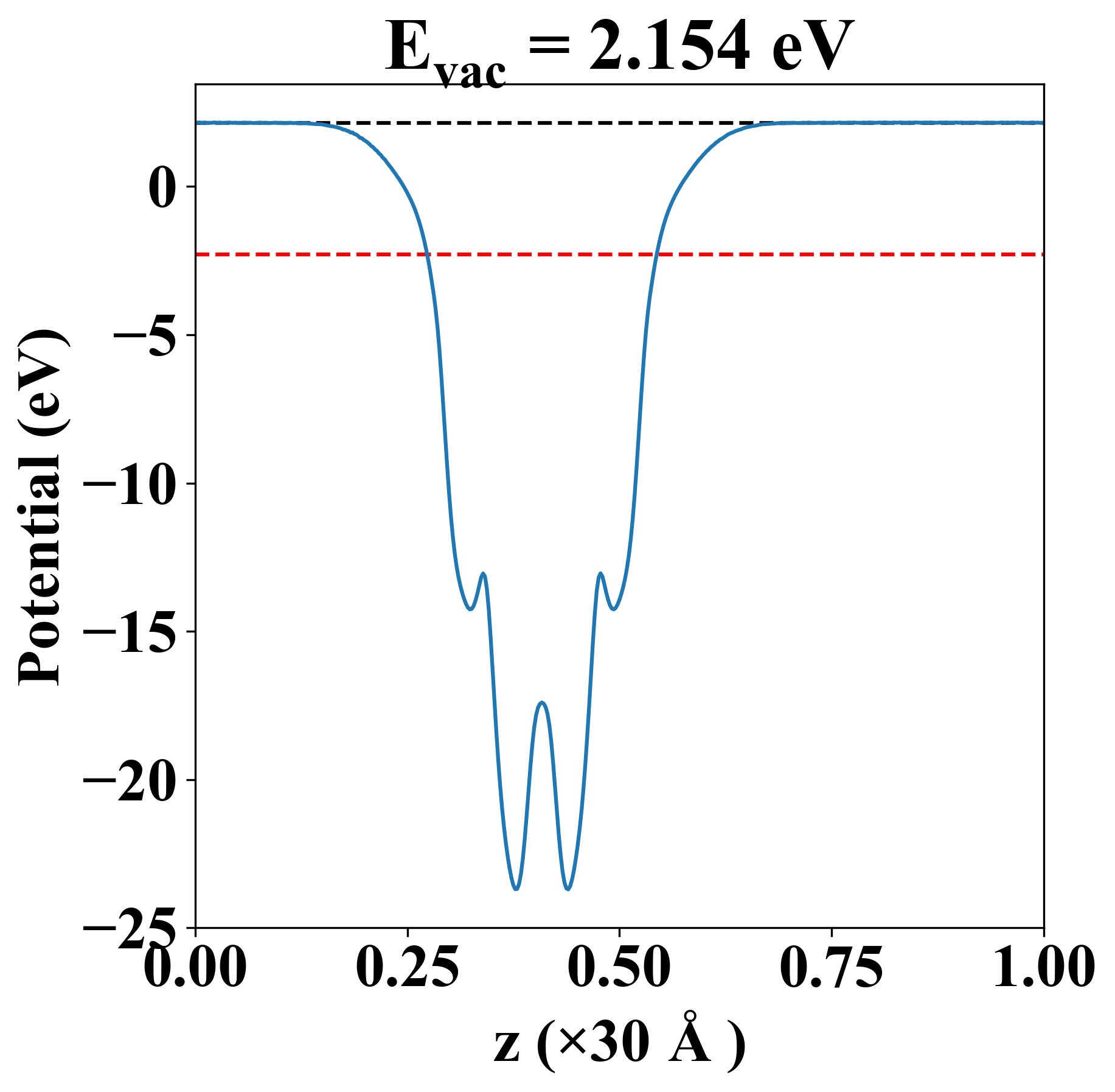
| E-fermi |
-2.295 eV |
| Vacuum level |
2.154 eV |
| VBM |
-2.295 eV |
| CBM |
-2.294 eV |
| Work function |
4.449 eV |
| Direct gap |
No |
| Property |
Value |
| Band gap |
0.00 eV |
| E-fermi |
-2.295 eV |
| Vacuum level |
2.154 eV |
| VBM |
-2.295 eV |
| CBM |
-2.294 eV |
| Work function |
4.449 eV |
| Cij (N/m) |
xx |
yy |
xy |
| xx |
57.697 |
6.366 |
0.000 |
| yy |
6.366 |
144.973 |
0.000 |
| xy |
0.000 |
0.000 |
19.779 |
| Phonon mode at Γ point (THz) |
| -0.003 |
| -0.001 |
| -0.001 |
| 1.370 |
| 1.564 |
| 2.398 |
| 2.633 |
| 2.868 |
| 3.595 |
| 3.860 |
| 4.734 |
| 4.921 |
| 5.041 |
| 5.117 |
| 5.955 |
| 6.264 |
| 6.604 |
| 6.790 |
| Property |
Value |
| from where |
c2db-150 |