Br2Hf2S2
MatHub2d-1193-Br2Hf2S2
| Property |
Value |
| Space group |
(59, 'Pmmn') |
| Crystal system |
rectangular |
| Magnetic |
No |
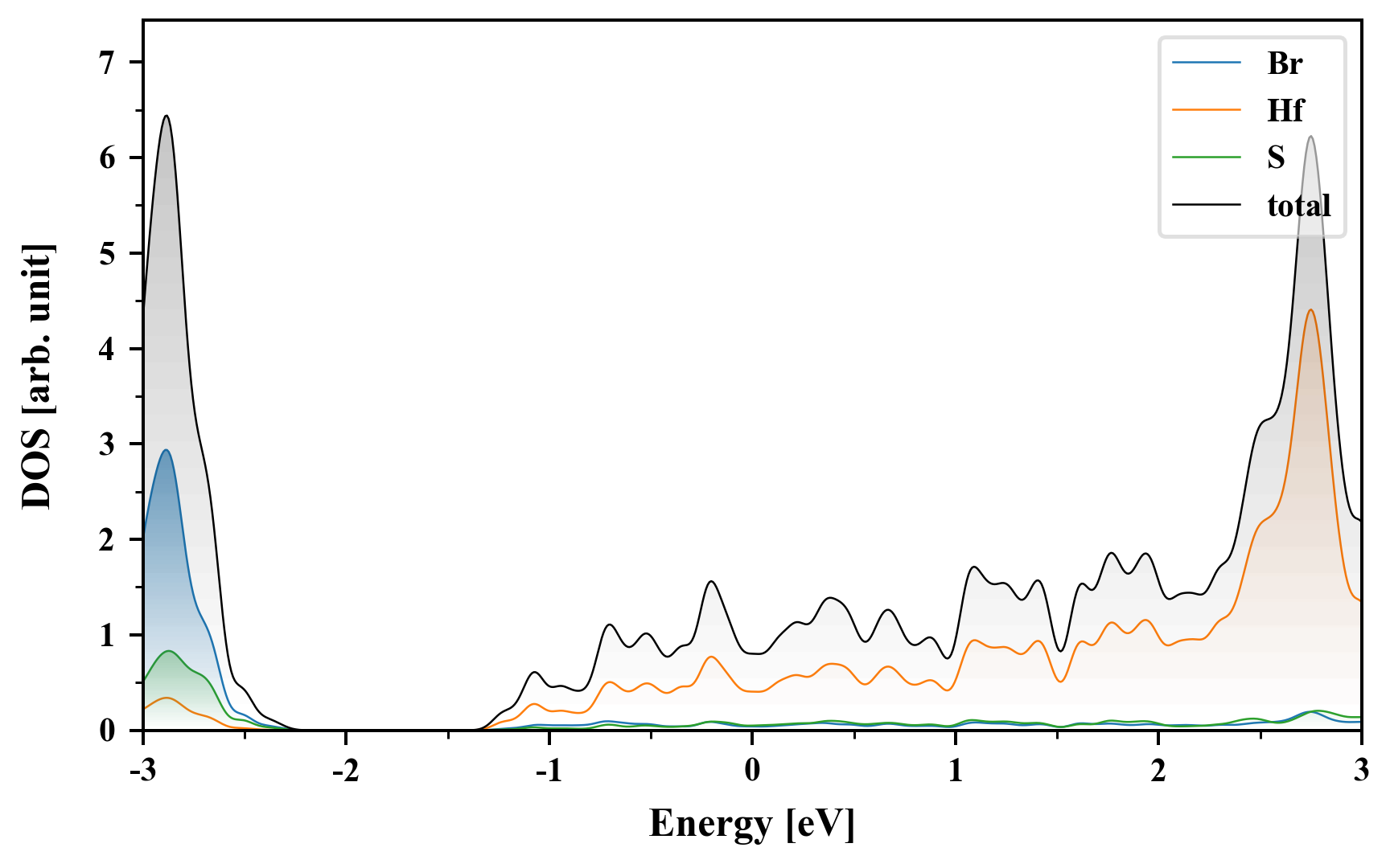
| Band gap (PBE) (eV) |
0.00 |
| Free energy (eV) |
-40.288 |
| Free energy / atom (eV) |
-6.715 |
Lattice Parameters (basic)
| a, b, c (Å): | 3.679 | 5.035 | 30.000 |
| α, β, γ (°): | 90.000 | 90.000 | 90.000 |
Lattice Parameters (computed)
| a, b, c (Å): | 3.681 | 5.012 | 30.000 |
| α, β, γ (°): | 90.000 | 90.000 | 90.000 |
| Property |
Value |
| Band gap |
0.00 eV |
| E-fermi |
-2.371 eV |
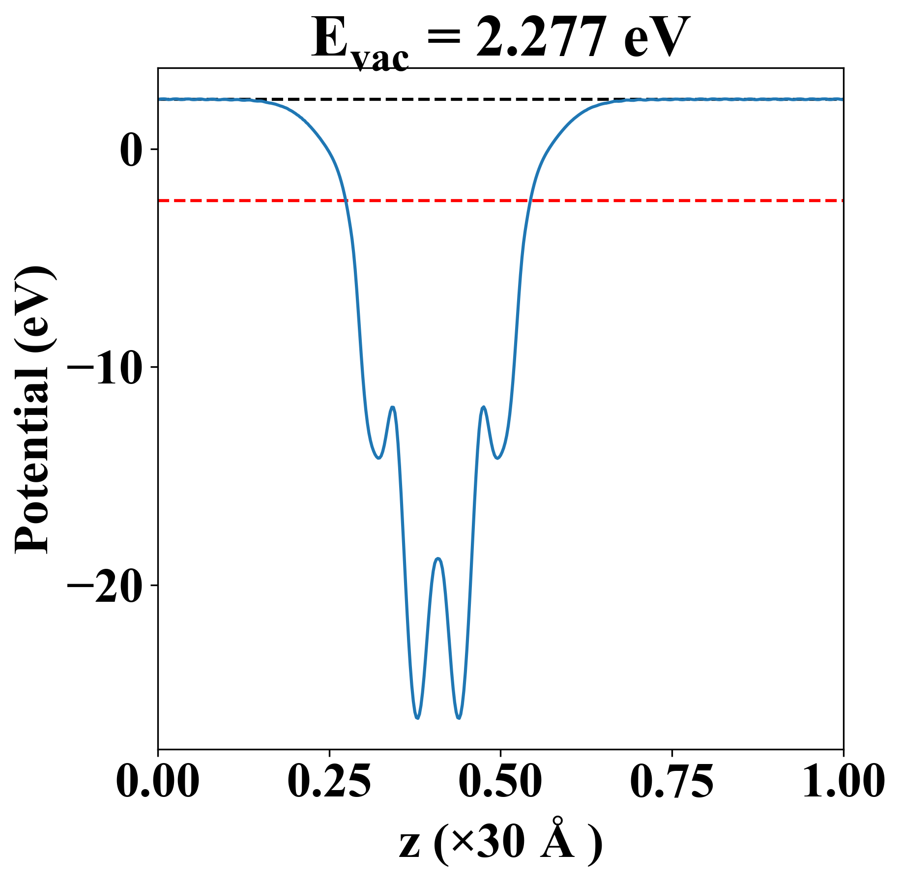
| Vacuum level |
2.277 eV |
| VBM |
-2.376 eV |
| CBM |
-2.371 eV |
| Work function |
4.649 eV |
| Direct gap |
No |
| Property |
Value |
| Band gap |
0.00 eV |
| E-fermi |
-2.371 eV |
| Vacuum level |
2.277 eV |
| VBM |
-2.376 eV |
| CBM |
-2.371 eV |
| Work function |
4.649 eV |
| Cij (N/m) |
xx |
yy |
xy |
| xx |
67.059 |
5.679 |
0.000 |
| yy |
5.679 |
169.955 |
0.000 |
| xy |
0.000 |
0.000 |
21.275 |
| Phonon mode at Γ point (THz) |
| -0.003 |
| -0.002 |
| -0.002 |
| 1.892 |
| 1.991 |
| 2.718 |
| 2.732 |
| 2.743 |
| 3.665 |
| 3.831 |
| 5.643 |
| 5.651 |
| 7.724 |
| 8.141 |
| 8.449 |
| 8.832 |
| 10.273 |
| 10.683 |
| Property |
Value |
| from where |
c2db-149 |