Br2Hf2O2
MatHub2d-1192-Br2Hf2O2
| Property |
Value |
| Space group |
(59, 'Pmmn') |
| Crystal system |
rectangular |
| Magnetic |
No |
| Band gap (PBE) (eV) |
0.00 |
| Free energy (eV) |
-46.131 |
| Free energy / atom (eV) |
-7.689 |
Lattice Parameters (basic)
| a, b, c (Å): | 3.540 | 4.302 | 30.000 |
| α, β, γ (°): | 90.000 | 90.000 | 90.000 |
Lattice Parameters (computed)
| a, b, c (Å): | 3.525 | 4.275 | 30.000 |
| α, β, γ (°): | 90.000 | 90.000 | 90.000 |
| Property |
Value |
| Band gap |
0.00 eV |
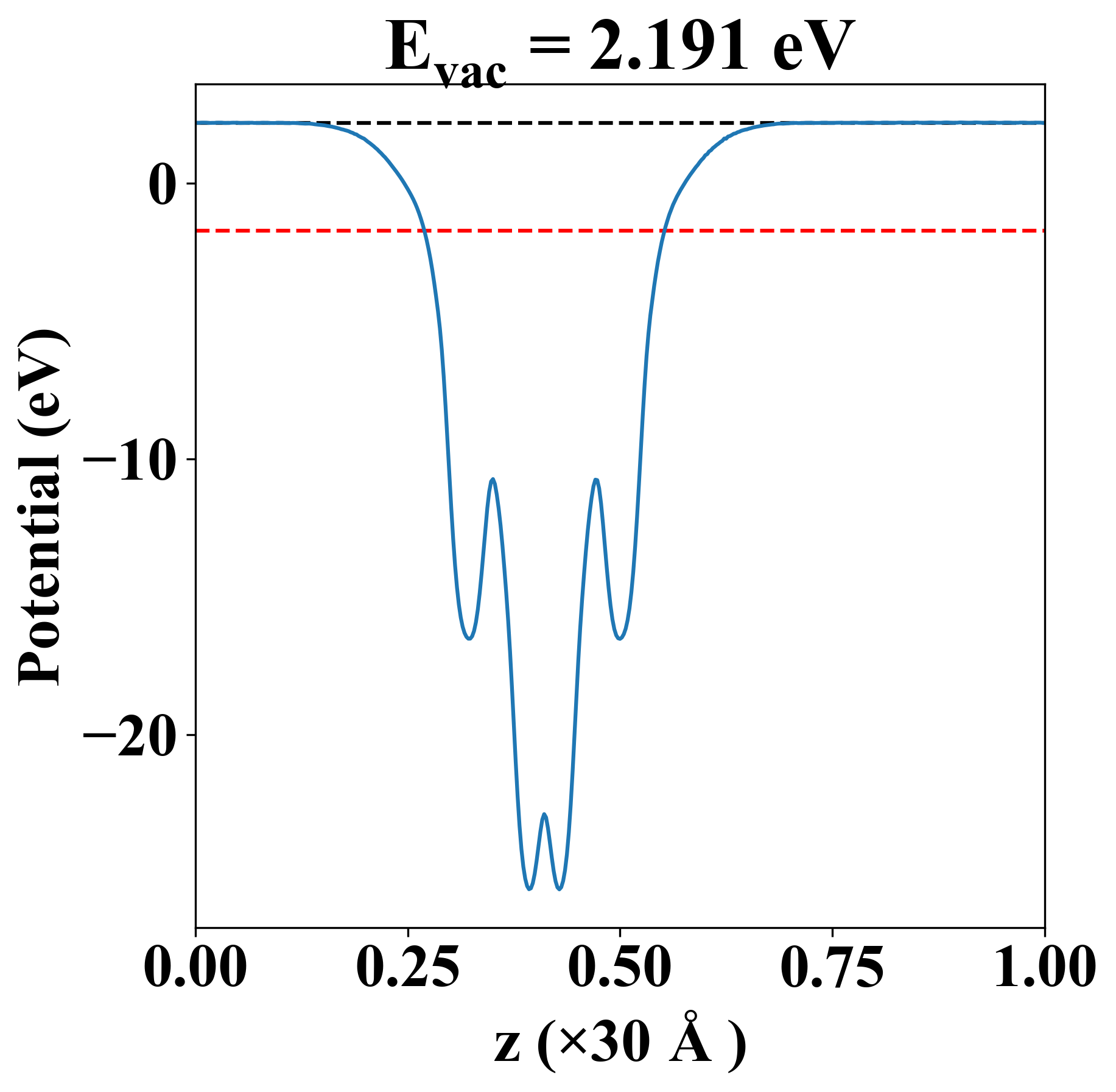
| E-fermi |
-1.732 eV |
| Vacuum level |
2.191 eV |
| VBM |
-1.734 eV |
| CBM |
-1.732 eV |
| Work function |
3.923 eV |
| Direct gap |
No |
| Property |
Value |
| Band gap |
0.00 eV |
| E-fermi |
-1.732 eV |
| Vacuum level |
2.191 eV |
| VBM |
-1.734 eV |
| CBM |
-1.732 eV |
| Work function |
3.923 eV |
| Cij (N/m) |
xx |
yy |
xy |
| xx |
80.429 |
-17.691 |
0.000 |
| yy |
-17.691 |
165.607 |
0.000 |
| xy |
0.000 |
0.000 |
16.486 |
| Phonon mode at Γ point (THz) |
| Property |
Value |
| from where |
c2db-148 |