Br2Hf2N2
MatHub2d-1191-Br2Hf2N2
| Property |
Value |
| Space group |
(59, 'Pmmn') |
| Crystal system |
rectangular |
| Magnetic |
No |
| Band gap (PBE) (eV) |
2.12 |
| Free energy (eV) |
-50.069 |
| Free energy / atom (eV) |
-8.345 |
Lattice Parameters (basic)
| a, b, c (Å): | 3.582 | 4.148 | 30.000 |
| α, β, γ (°): | 90.000 | 90.000 | 90.000 |
Lattice Parameters (computed)
| a, b, c (Å): | 3.574 | 4.129 | 30.000 |
| α, β, γ (°): | 90.000 | 90.000 | 90.000 |
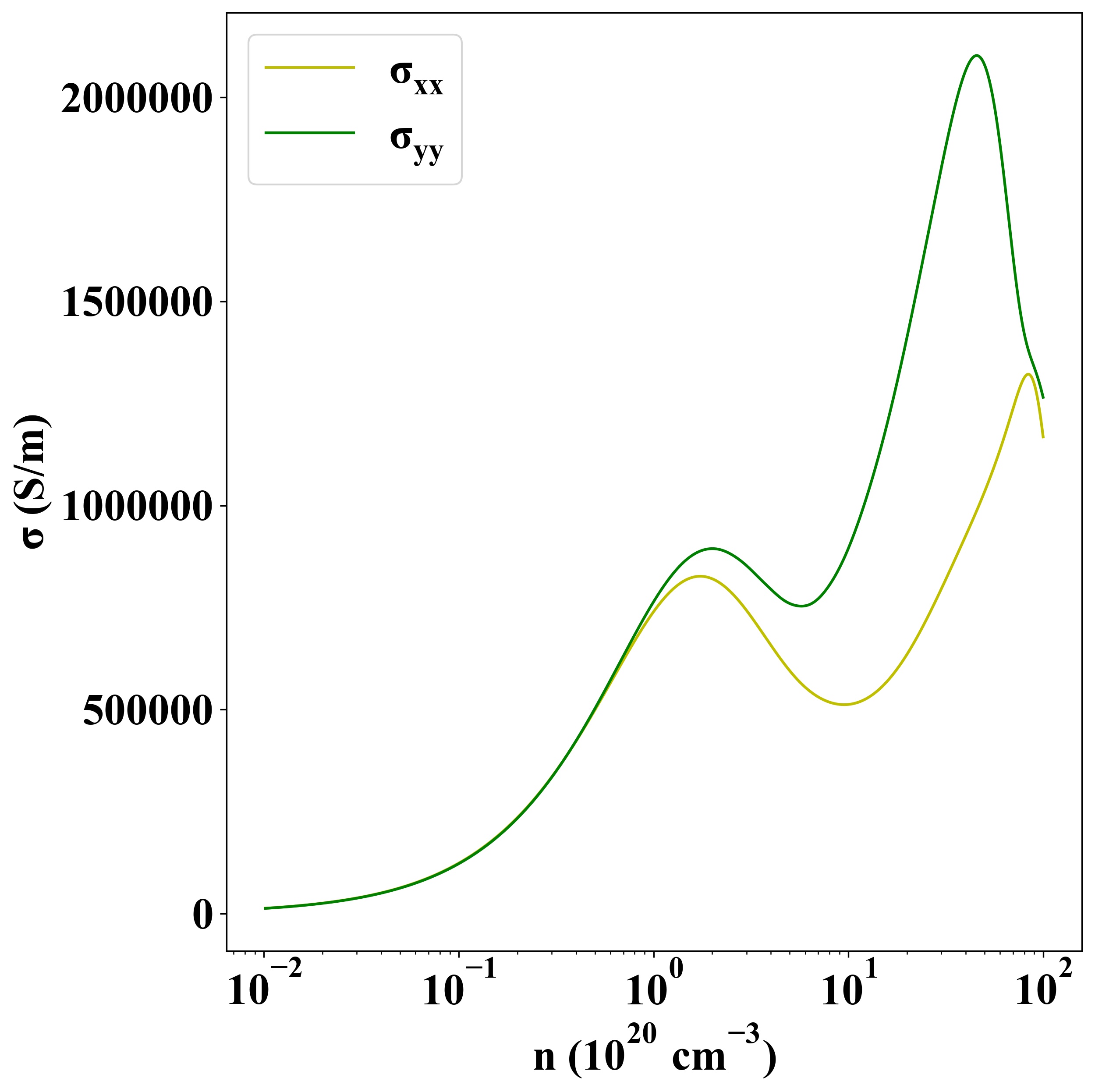
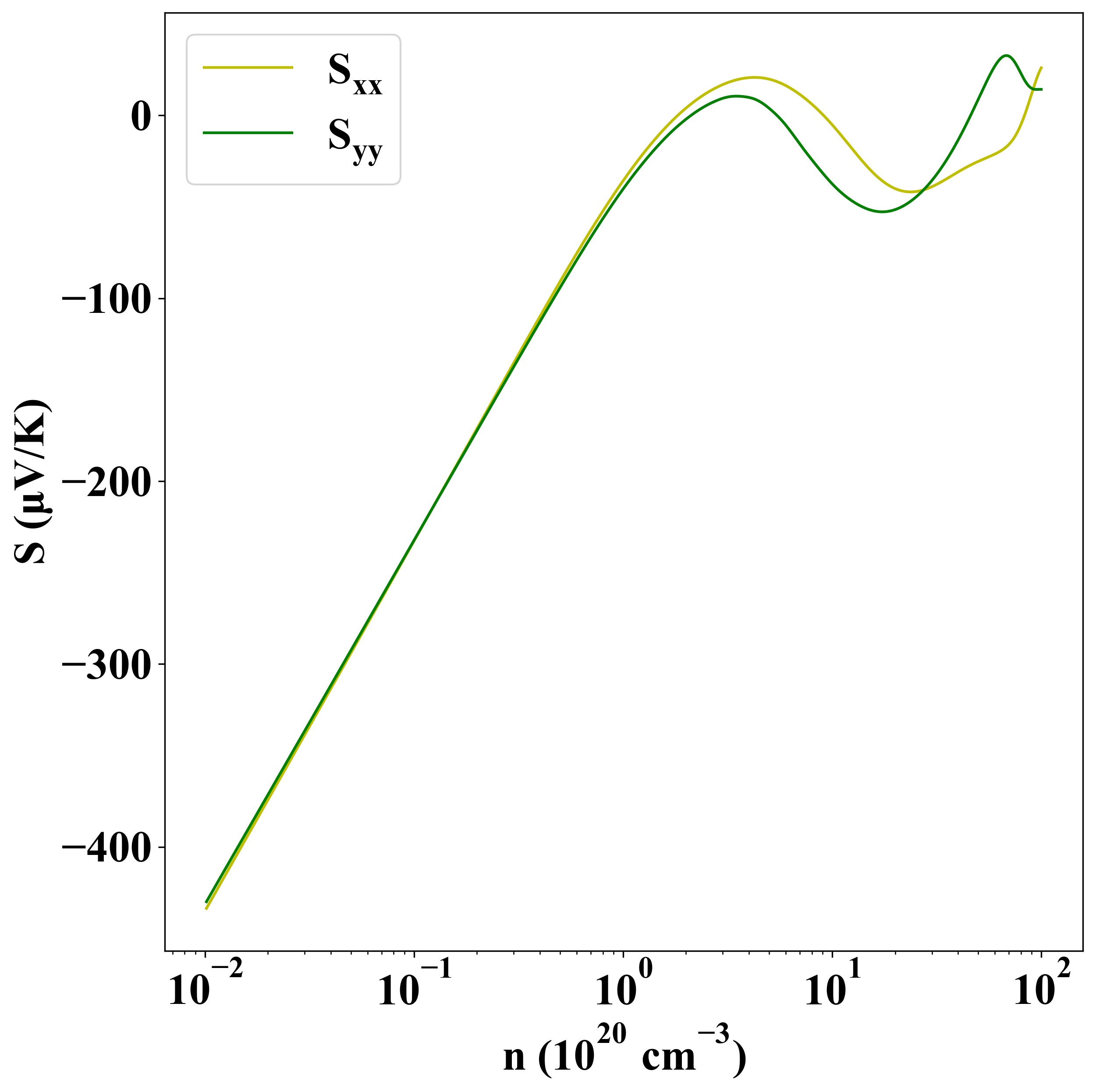
| Property |
Value |
| Band gap |
2.12 eV |
| E-fermi |
-3.506 eV |
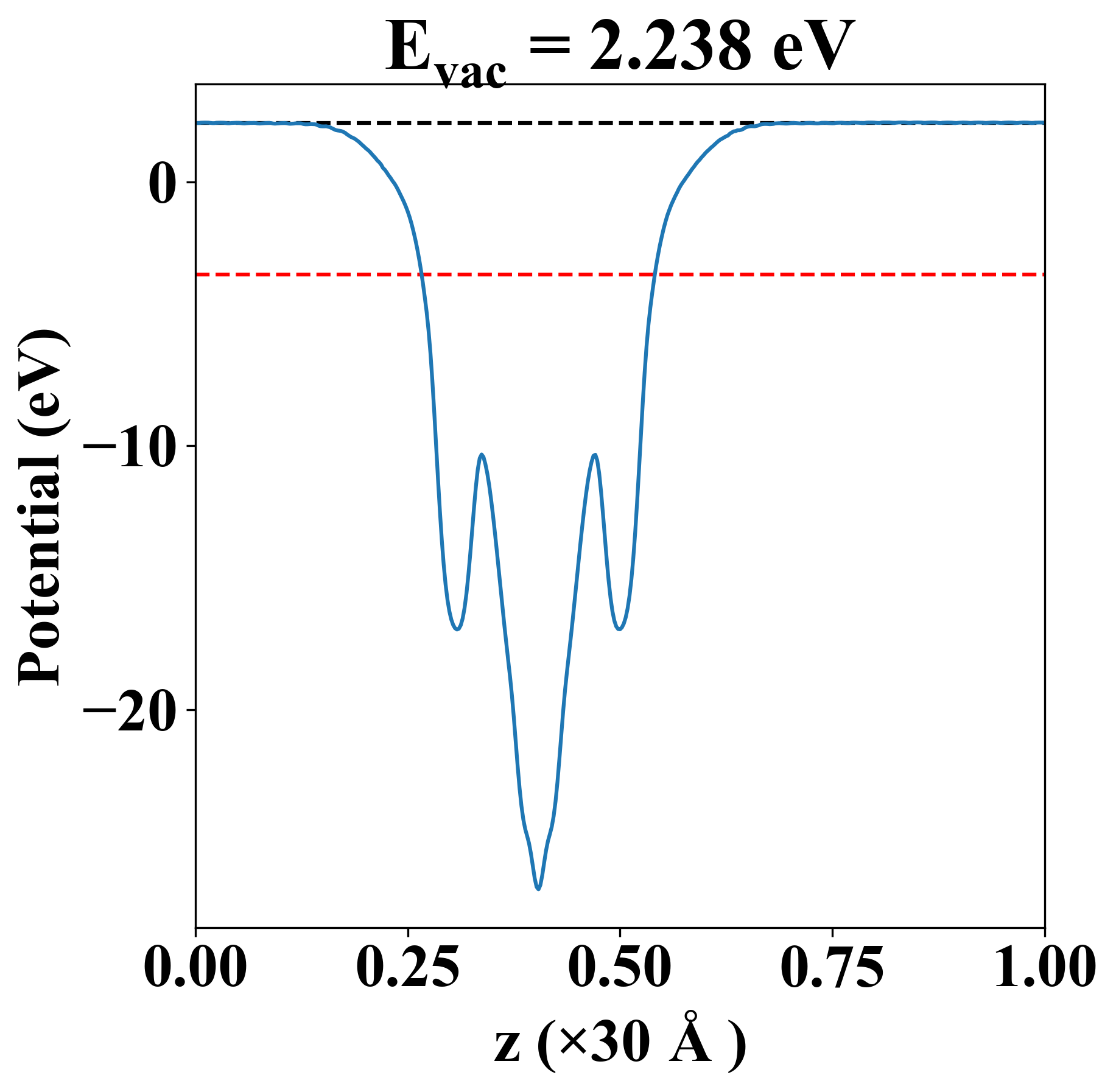
| Vacuum level |
2.238 eV |
| VBM |
-3.854 eV |
| CBM |
-1.732 eV |
| Work function |
5.744 eV |
| Direct gap |
Yes |
| Property |
Value |
| Band gap |
2.11 eV |
| E-fermi |
-3.568 eV |
| VBM |
-3.855 eV |
| CBM |
-1.745 eV |
| Free energy (eV) |
-51.414 |
| Free energy / atom (eV) |
-8.569 |
| Property |
Value |
| Band gap |
2.12 eV |
| E-fermi |
-3.506 eV |
| Vacuum level |
2.238 eV |
| VBM |
-3.854 eV |
| CBM |
-1.732 eV |
| Work function |
5.744 eV |
| Cij (N/m) |
xx |
yy |
xy |
| xx |
145.195 |
39.044 |
0.000 |
| yy |
39.044 |
140.052 |
0.000 |
| xy |
0.000 |
0.000 |
70.052 |
| Phonon mode at Γ point (THz) |
| -0.009 |
| -0.003 |
| -0.001 |
| 1.472 |
| 1.774 |
| 2.449 |
| 2.727 |
| 3.747 |
| 3.883 |
| 4.388 |
| 6.043 |
| 6.872 |
| 11.759 |
| 12.545 |
| 13.246 |
| 17.833 |
| 18.427 |
| 19.797 |
| Property |
Value |
| from where |
c2db-147 |