Br2Ge2O2
MatHub2d-1188-Br2Ge2O2
| Property |
Value |
| Space group |
(59, 'Pmmn') |
| Crystal system |
rectangular |
| Magnetic |
No |
| Band gap (PBE) (eV) |
0.01 |
| Free energy (eV) |
-26.864 |
| Free energy / atom (eV) |
-4.477 |
Lattice Parameters (basic)
| a, b, c (Å): | 3.642 | 3.891 | 30.000 |
| α, β, γ (°): | 90.000 | 90.000 | 90.000 |
Lattice Parameters (computed)
| a, b, c (Å): | 3.645 | 3.888 | 30.000 |
| α, β, γ (°): | 90.000 | 90.000 | 90.000 |
| Property |
Value |
| Band gap |
0.01 eV |
| E-fermi |
-3.039 eV |
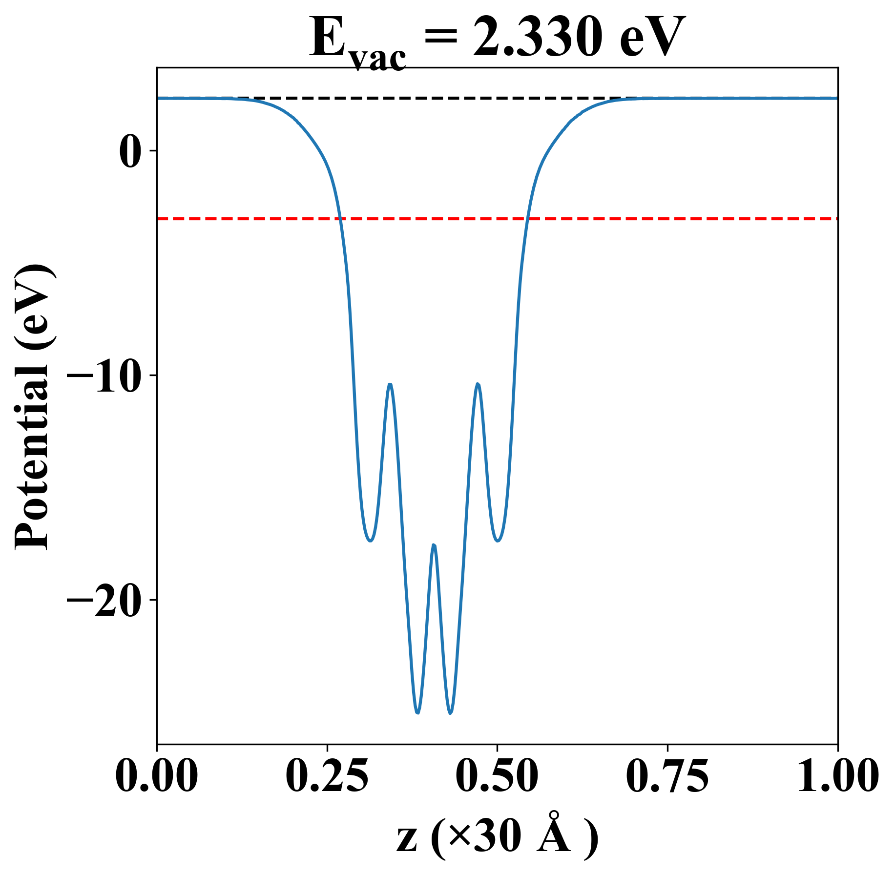
| Vacuum level |
2.330 eV |
| VBM |
-3.042 eV |
| CBM |
-3.032 eV |
| Work function |
5.369 eV |
| Direct gap |
No |
| Property |
Value |
| Band gap |
0.01 eV |
| E-fermi |
-3.039 eV |
| Vacuum level |
2.330 eV |
| VBM |
-3.042 eV |
| CBM |
-3.032 eV |
| Work function |
5.369 eV |
| Cij (N/m) |
xx |
yy |
xy |
| xx |
54.902 |
30.184 |
0.000 |
| yy |
30.184 |
90.973 |
0.000 |
| xy |
0.000 |
0.000 |
26.821 |
| Phonon mode at Γ point (THz) |
| Property |
Value |
| from where |
c2db-51 |