Br2Ge2N2
MatHub2d-1187-Br2Ge2N2
| Property |
Value |
| Space group |
(59, 'Pmmn') |
| Crystal system |
rectangular |
| Magnetic |
No |
| Band gap (PBE) (eV) |
1.48 |
| Free energy (eV) |
-28.977 |
| Free energy / atom (eV) |
-4.830 |
Lattice Parameters (basic)
| a, b, c (Å): | 3.319 | 3.881 | 30.000 |
| α, β, γ (°): | 90.000 | 90.000 | 90.000 |
Lattice Parameters (computed)
| a, b, c (Å): | 3.327 | 3.874 | 30.000 |
| α, β, γ (°): | 90.000 | 90.000 | 90.000 |
| Property |
Value |
| Band gap |
1.48 eV |
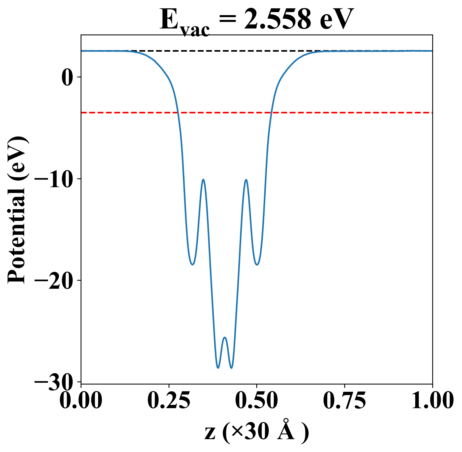
| E-fermi |
-3.512 eV |
| Vacuum level |
2.558 eV |
| VBM |
-3.842 eV |
| CBM |
-2.358 eV |
| Work function |
6.069 eV |
| Direct gap |
Yes |
| Property |
Value |
| Band gap |
1.48 eV |
| E-fermi |
-3.497 eV |
| VBM |
-3.834 eV |
| CBM |
-2.351 eV |
| Free energy (eV) |
-29.049 |
| Free energy / atom (eV) |
-4.842 |
| Property |
Value |
| Band gap |
1.48 eV |
| E-fermi |
-3.512 eV |
| Vacuum level |
2.558 eV |
| VBM |
-3.842 eV |
| CBM |
-2.358 eV |
| Work function |
6.069 eV |
| Cij (N/m) |
xx |
yy |
xy |
| xx |
153.239 |
49.081 |
0.000 |
| yy |
49.081 |
132.135 |
0.000 |
| xy |
0.000 |
0.000 |
79.129 |
| Phonon mode at Γ point (THz) |
| -0.044 |
| -0.012 |
| -0.004 |
| 1.408 |
| 1.688 |
| 1.941 |
| 2.784 |
| 4.218 |
| 4.780 |
| 6.939 |
| 6.954 |
| 8.952 |
| 10.674 |
| 13.456 |
| 14.850 |
| 15.440 |
| 17.205 |
| 23.244 |
| Property |
Value |
| from where |
c2db-50 |