Br2Ga2Se2
MatHub2d-1186-Br2Ga2Se2
| Property |
Value |
| Space group |
(59, 'Pmmn') |
| Crystal system |
rectangular |
| Magnetic |
No |
| Band gap (PBE) (eV) |
0.74 |
| Free energy (eV) |
-19.659 |
| Free energy / atom (eV) |
-3.277 |
Lattice Parameters (basic)
| a, b, c (Å): | 3.679 | 5.416 | 30.000 |
| α, β, γ (°): | 90.000 | 90.000 | 90.000 |
Lattice Parameters (computed)
| a, b, c (Å): | 3.640 | 5.355 | 30.000 |
| α, β, γ (°): | 90.000 | 90.000 | 90.000 |
| Property |
Value |
| Band gap |
0.74 eV |
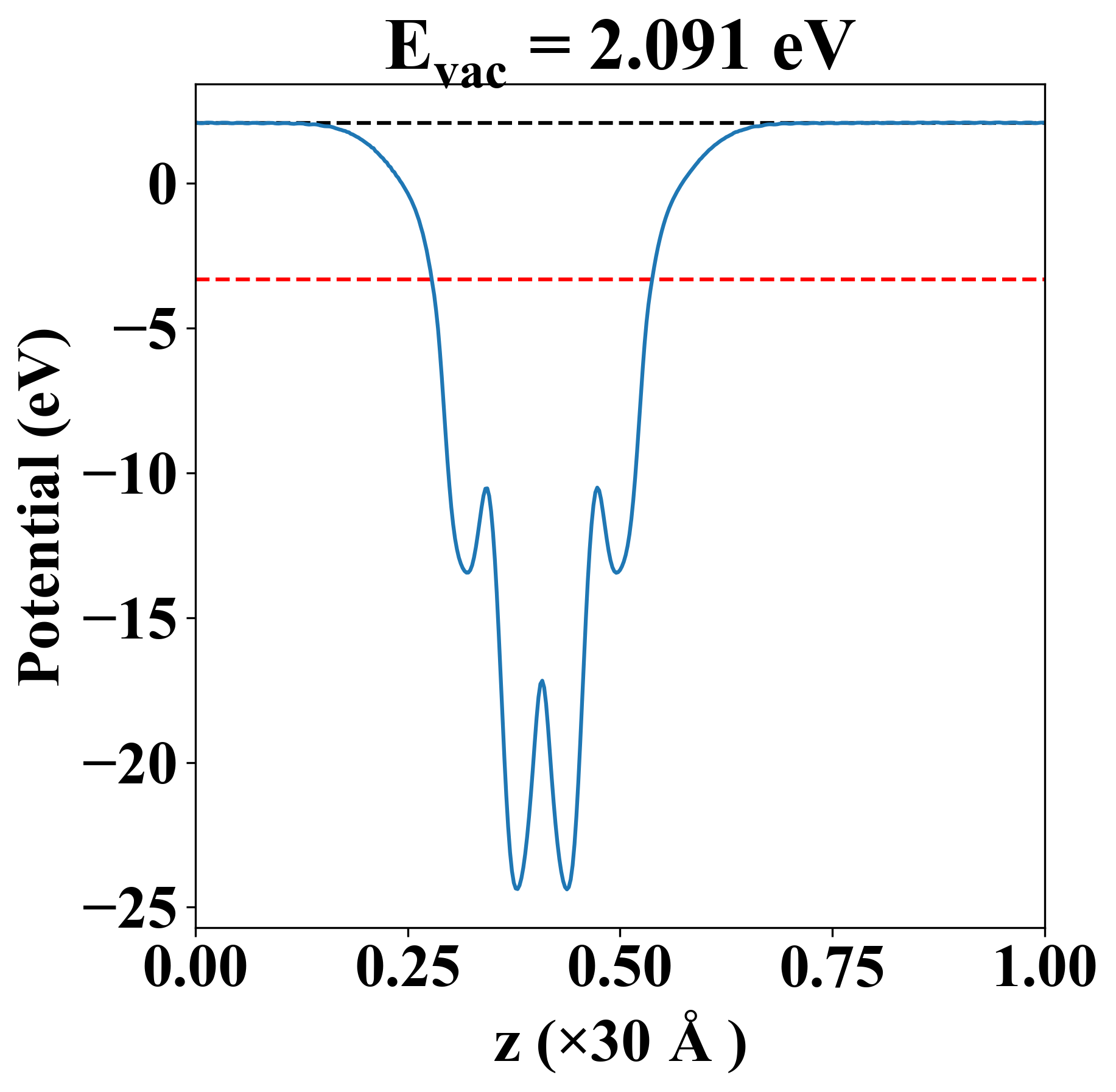
| E-fermi |
-3.306 eV |
| Vacuum level |
2.091 eV |
| VBM |
-3.619 eV |
| CBM |
-2.877 eV |
| Work function |
5.397 eV |
| Direct gap |
No |
| Property |
Value |
| Band gap |
0.74 eV |
| E-fermi |
-3.370 eV |
| VBM |
-3.615 eV |
| CBM |
-2.870 eV |
| Free energy (eV) |
-19.772 |
| Free energy / atom (eV) |
-3.295 |
| Property |
Value |
| Band gap |
0.74 eV |
| E-fermi |
-3.306 eV |
| Vacuum level |
2.091 eV |
| VBM |
-3.619 eV |
| CBM |
-2.877 eV |
| Work function |
5.397 eV |
| Cij (N/m) |
xx |
yy |
xy |
| xx |
88.350 |
10.266 |
0.000 |
| yy |
10.266 |
43.368 |
0.000 |
| xy |
0.000 |
0.000 |
21.849 |
| Phonon mode at Γ point (THz) |
| Property |
Value |
| from where |
c2db-135 |