Br2Ga2S2
MatHub2d-1185-Br2Ga2S2
| Property |
Value |
| Space group |
(59, 'Pmmn') |
| Crystal system |
rectangular |
| Magnetic |
No |
| Band gap (PBE) (eV) |
1.61 |
| Free energy (eV) |
-21.408 |
| Free energy / atom (eV) |
-3.568 |
Lattice Parameters (basic)
| a, b, c (Å): | 3.579 | 5.080 | 30.000 |
| α, β, γ (°): | 90.000 | 90.000 | 90.000 |
Lattice Parameters (computed)
| a, b, c (Å): | 3.534 | 5.009 | 30.000 |
| α, β, γ (°): | 90.000 | 90.000 | 90.000 |
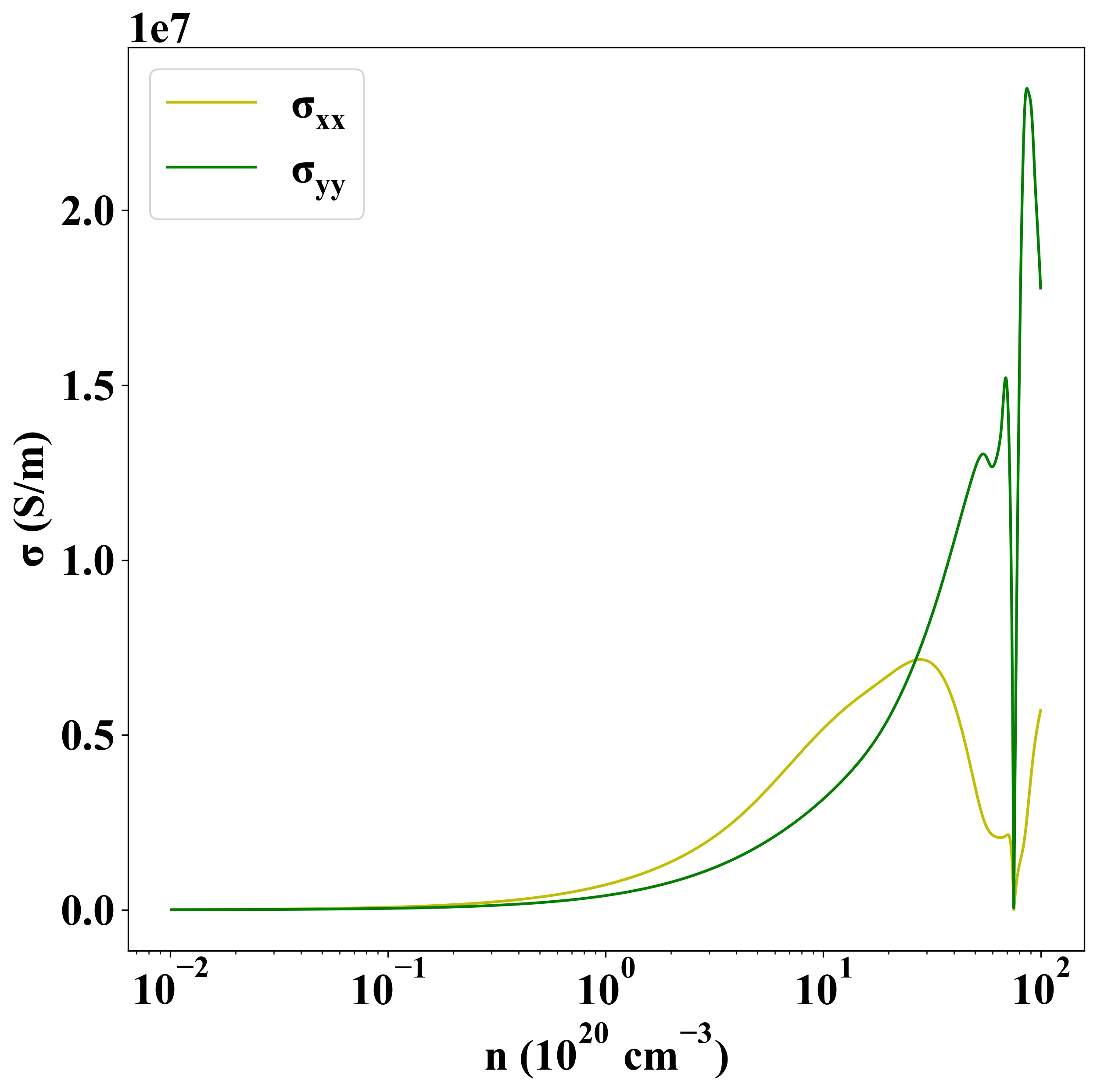
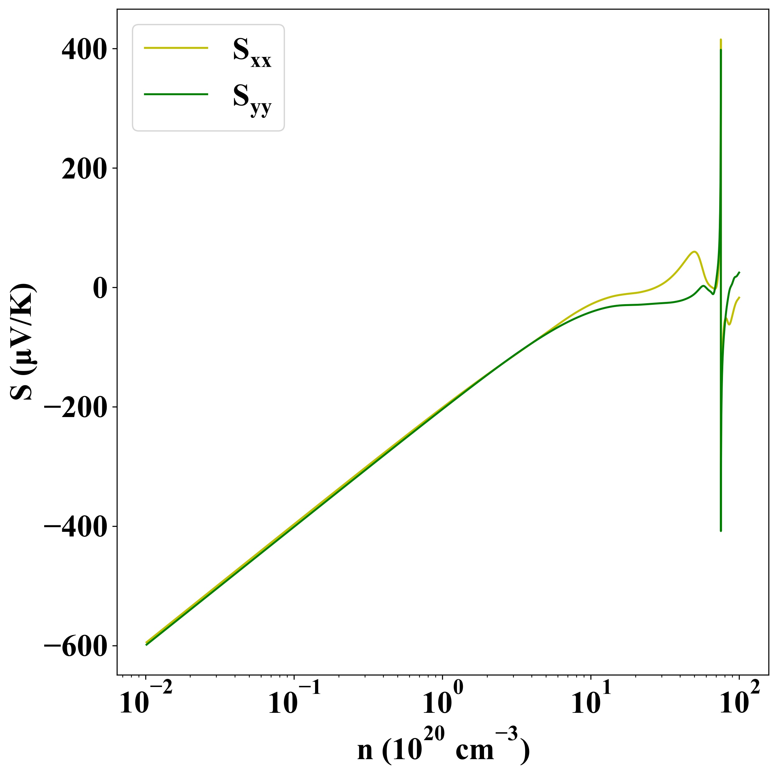
| Property |
Value |
| Band gap |
1.61 eV |
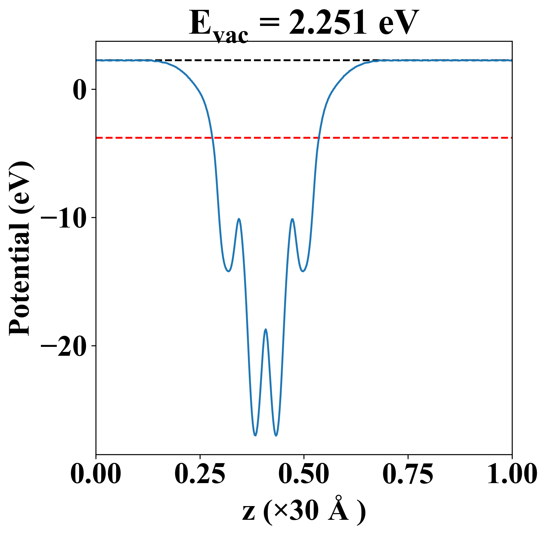
| E-fermi |
-3.787 eV |
| Vacuum level |
2.251 eV |
| VBM |
-4.052 eV |
| CBM |
-2.441 eV |
| Work function |
6.038 eV |
| Direct gap |
No |
| Property |
Value |
| Band gap |
1.60 eV |
| E-fermi |
-3.797 eV |
| VBM |
-4.043 eV |
| CBM |
-2.448 eV |
| Free energy (eV) |
-21.477 |
| Free energy / atom (eV) |
-3.579 |
| Property |
Value |
| Band gap |
1.61 eV |
| E-fermi |
-3.787 eV |
| Vacuum level |
2.251 eV |
| VBM |
-4.052 eV |
| CBM |
-2.441 eV |
| Work function |
6.038 eV |
| Cij (N/m) |
xx |
yy |
xy |
| xx |
101.366 |
14.493 |
0.000 |
| yy |
14.493 |
51.141 |
0.000 |
| xy |
0.000 |
0.000 |
27.616 |
| Phonon mode at Γ point (THz) |
| Property |
Value |
| from where |
c2db-134 |