Br2Ga2O2
MatHub2d-1184-Br2Ga2O2
| Property |
Value |
| Space group |
(59, 'Pmmn') |
| Crystal system |
rectangular |
| Magnetic |
No |
| Band gap (PBE) (eV) |
2.86 |
| Free energy (eV) |
-27.762 |
| Free energy / atom (eV) |
-4.627 |
Lattice Parameters (basic)
| a, b, c (Å): | 3.410 | 3.843 | 30.000 |
| α, β, γ (°): | 90.000 | 90.000 | 90.000 |
Lattice Parameters (computed)
| a, b, c (Å): | 3.381 | 3.702 | 30.000 |
| α, β, γ (°): | 90.000 | 90.000 | 90.000 |
| Property |
Value |
| Band gap |
2.86 eV |
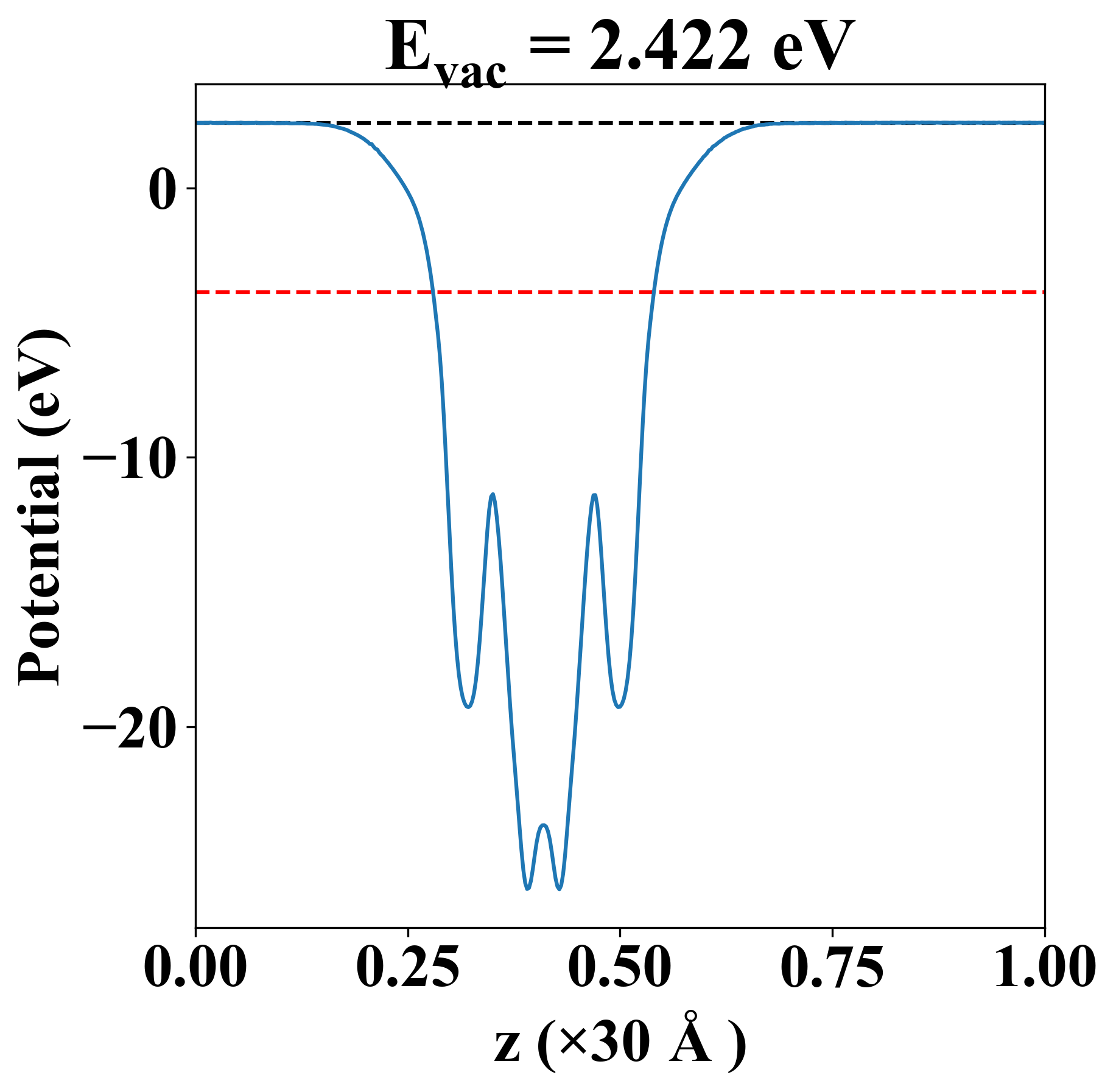
| E-fermi |
-3.867 eV |
| Vacuum level |
2.422 eV |
| VBM |
-4.135 eV |
| CBM |
-1.271 eV |
| Work function |
6.289 eV |
| Direct gap |
No |
| Property |
Value |
| Band gap |
2.85 eV |
| E-fermi |
-3.873 eV |
| VBM |
-4.112 eV |
| CBM |
-1.262 eV |
| Free energy (eV) |
-27.826 |
| Free energy / atom (eV) |
-4.638 |
| Property |
Value |
| Band gap |
2.86 eV |
| E-fermi |
-3.867 eV |
| Vacuum level |
2.422 eV |
| VBM |
-4.135 eV |
| CBM |
-1.271 eV |
| Work function |
6.289 eV |
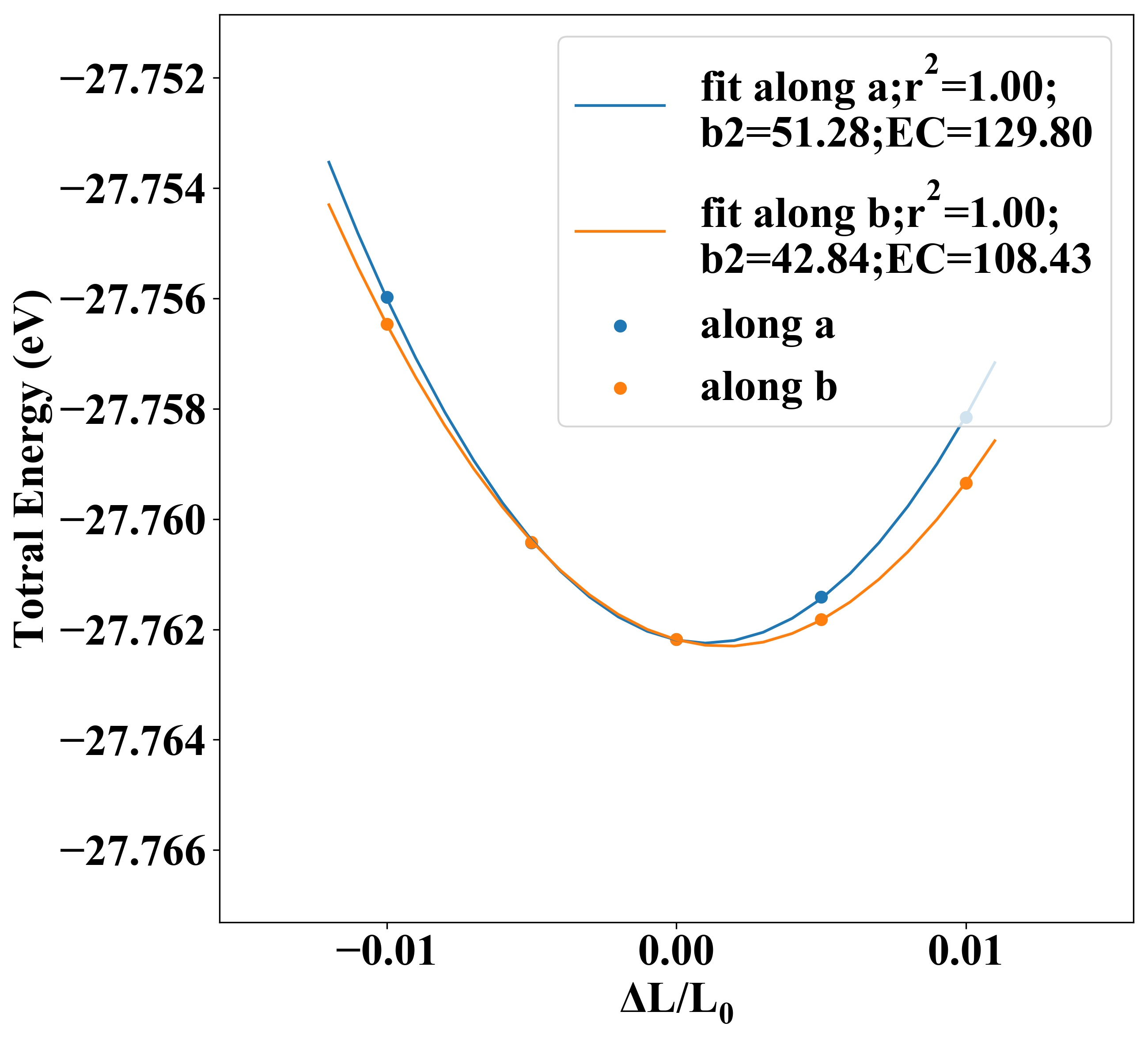
| Cij (N/m) |
xx |
yy |
xy |
| xx |
135.164 |
54.313 |
0.000 |
| yy |
54.313 |
122.770 |
0.000 |
| xy |
0.000 |
0.000 |
53.766 |
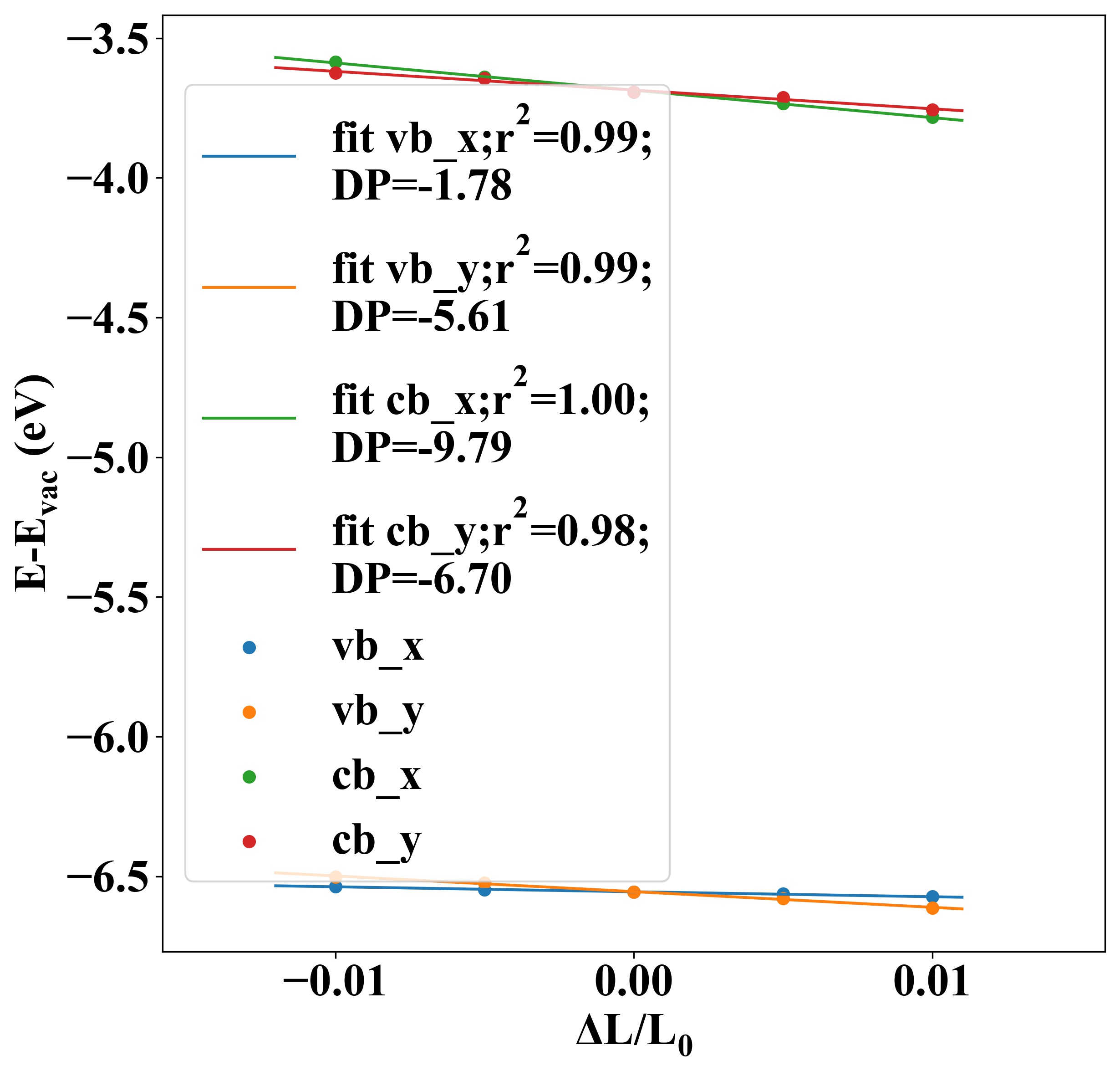
| Phonon mode at Γ point (THz) |
| Carrier type |
C2D (N/m) |
Edef (eV) |
μ (cm2V-1s-1) |
| x |
y |
x |
y |
x |
y |
| hole |
129.80 |
108.43 |
-1.78 |
-5.61 |
-83.71 |
-45.49 |
| electron |
-9.79 |
-6.70 |
289.98 |
405.95 |
| Property |
Value |
| from where |
c2db-133 |