Br2Fe2Se2
MatHub2d-1182-Br2Fe2Se2
| Property |
Value |
| Space group |
(59, 'Pmmn') |
| Crystal system |
rectangular |
| Magnetic |
Yes |
| Band gap (PBE) (eV) |
0.00 |
| Free energy (eV) |
-23.992 |
| Free energy / atom (eV) |
-3.999 |
Lattice Parameters (basic)
| a, b, c (Å): | 3.485 | 4.990 | 30.000 |
| α, β, γ (°): | 90.000 | 90.000 | 90.000 |
Lattice Parameters (computed)
| a, b, c (Å): | 3.733 | 4.807 | 30.000 |
| α, β, γ (°): | 90.000 | 90.000 | 90.000 |
| Property |
Value |
| Band gap |
0.00 eV |
| E-fermi |
-3.315 eV |
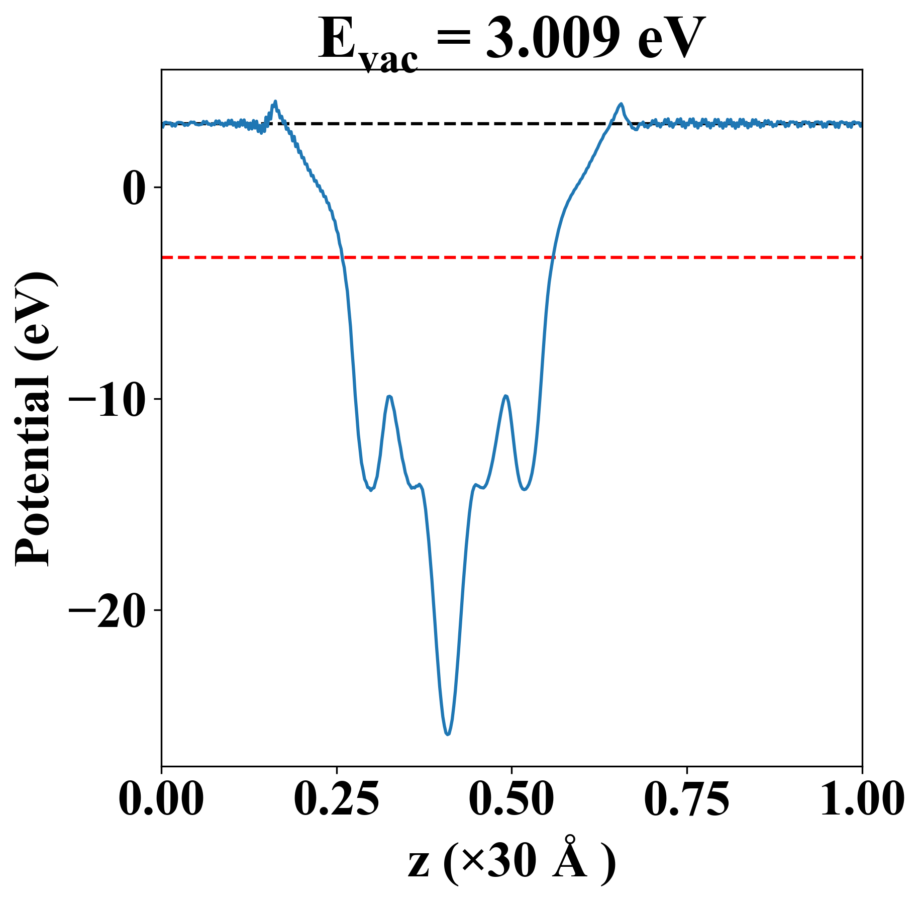
| Vacuum level |
3.009 eV |
| VBM |
-3.318 eV |
| CBM |
-3.313 eV |
| Work function |
6.324 eV |
| Direct gap |
No |
| Property |
Value |
| Band gap |
0.00 eV |
| E-fermi |
-3.315 eV |
| Vacuum level |
3.009 eV |
| VBM |
-3.318 eV |
| CBM |
-3.313 eV |
| Work function |
6.324 eV |
| Cij (N/m) |
xx |
yy |
xy |
| xx |
59.015 |
24.953 |
0.000 |
| yy |
24.953 |
-41.757 |
0.000 |
| xy |
0.000 |
0.000 |
11.319 |
| Phonon mode at Γ point (THz) |
| -2.431 |
| -0.948 |
| -0.379 |
| -0.022 |
| -0.013 |
| -0.008 |
| 0.882 |
| 1.130 |
| 1.295 |
| 1.950 |
| 2.464 |
| 2.981 |
| 3.304 |
| 4.340 |
| 4.473 |
| 4.505 |
| 4.755 |
| 5.408 |
| Property |
Value |
| from where |
c2db-114 |