Br2Fe2S2
MatHub2d-1181-Br2Fe2S2
| Property |
Value |
| Space group |
(59, 'Pmmn') |
| Crystal system |
rectangular |
| Magnetic |
Yes |
| Band gap (PBE) (eV) |
0.00 |
| Free energy (eV) |
-25.155 |
| Free energy / atom (eV) |
-4.193 |
Lattice Parameters (basic)
| a, b, c (Å): | 3.358 | 4.529 | 30.000 |
| α, β, γ (°): | 90.000 | 90.000 | 90.000 |
Lattice Parameters (computed)
| a, b, c (Å): | 3.595 | 4.980 | 30.000 |
| α, β, γ (°): | 90.000 | 90.000 | 90.000 |
| Property |
Value |
| Band gap |
0.00 eV |
| E-fermi |
-3.820 eV |
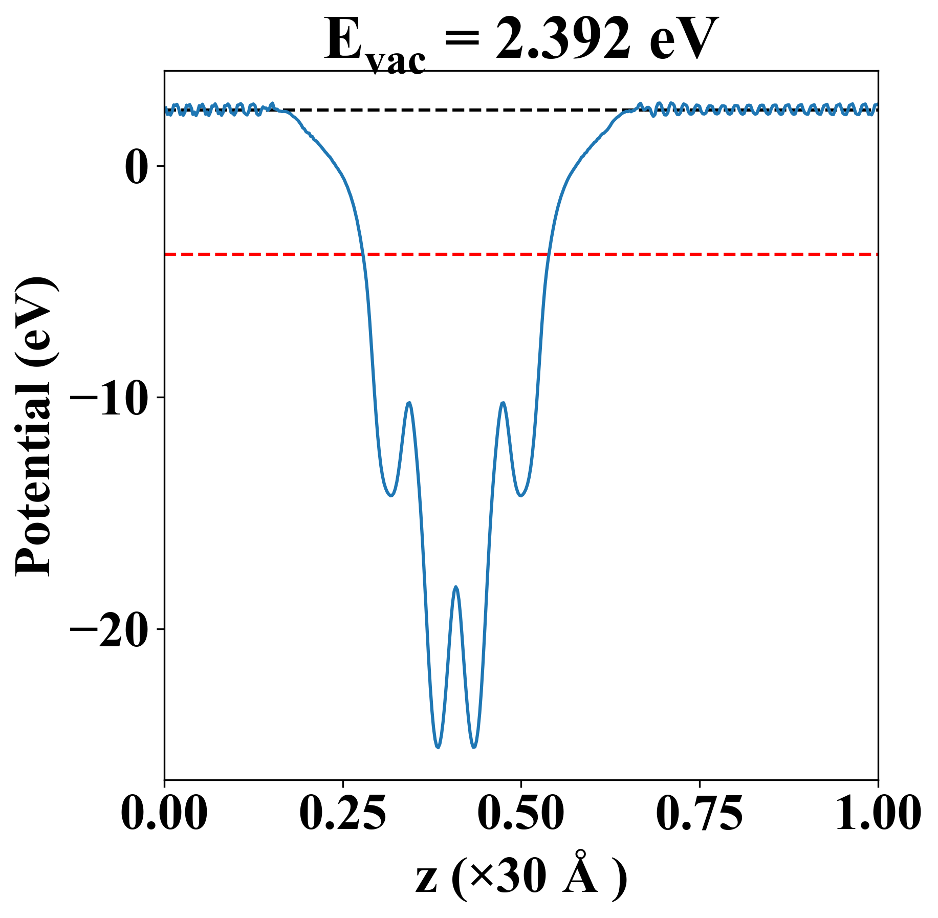
| Vacuum level |
2.392 eV |
| VBM |
-3.894 eV |
| CBM |
-3.751 eV |
| Work function |
6.212 eV |
| Direct gap |
Yes |
| Property |
Value |
| Band gap |
0.14 eV |
| E-fermi |
-3.799 eV |
| VBM |
-3.872 eV |
| CBM |
-3.732 eV |
| Free energy (eV) |
-25.185 |
| Free energy / atom (eV) |
-4.198 |
| Property |
Value |
| Band gap |
0.00 eV |
| E-fermi |
-3.820 eV |
| Vacuum level |
2.392 eV |
| VBM |
-3.894 eV |
| CBM |
-3.751 eV |
| Work function |
6.212 eV |
| Cij (N/m) |
xx |
yy |
xy |
| xx |
58.811 |
11.151 |
0.000 |
| yy |
11.151 |
9.017 |
0.000 |
| xy |
0.000 |
0.000 |
17.210 |
| Phonon mode at Γ point (THz) |
| -6.291 |
| -5.408 |
| -0.023 |
| -0.007 |
| -0.002 |
| 1.478 |
| 1.970 |
| 2.396 |
| 2.447 |
| 2.881 |
| 3.137 |
| 3.620 |
| 3.750 |
| 4.493 |
| 4.719 |
| 4.988 |
| 5.579 |
| 6.444 |
| Property |
Value |
| from where |
c2db-112 |