Br2Fe2O2
MatHub2d-1180-Br2Fe2O2
| Property |
Value |
| Space group |
(59, 'Pmmn') |
| Crystal system |
rectangular |
| Magnetic |
Yes |
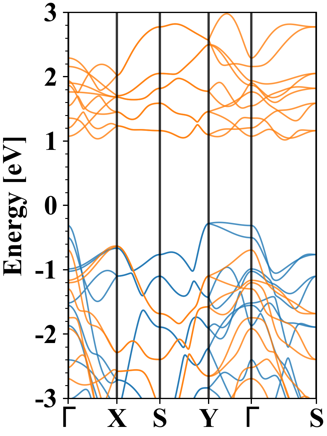
| Band gap (PBE) (eV) |
0.00 |
| Free energy (eV) |
-31.039 |
| Free energy / atom (eV) |
-5.173 |
Lattice Parameters (basic)
| a, b, c (Å): | 3.256 | 3.748 | 30.000 |
| α, β, γ (°): | 90.000 | 90.000 | 90.000 |
Lattice Parameters (computed)
| a, b, c (Å): | 3.409 | 3.898 | 30.000 |
| α, β, γ (°): | 90.000 | 90.000 | 90.000 |
| Property |
Value |
| Band gap |
0.00 eV |
| E-fermi |
-4.079 eV |
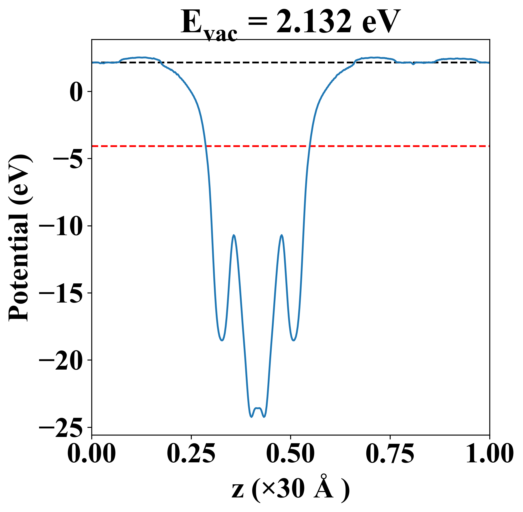
| Vacuum level |
2.132 eV |
| VBM |
-4.345 eV |
| CBM |
-3.063 eV |
| Work function |
6.212 eV |
| Direct gap |
No |
| Property |
Value |
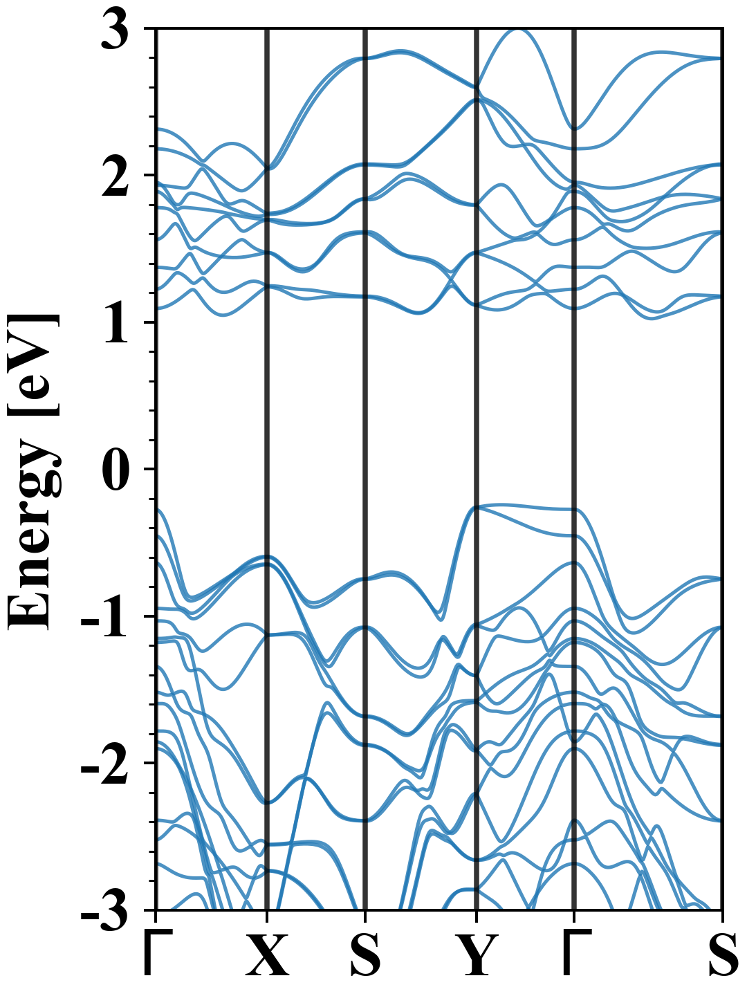
| Band gap |
1.27 eV |
| E-fermi |
-4.074 eV |
| VBM |
-4.316 eV |
| CBM |
-3.050 eV |
| Free energy (eV) |
-31.047 |
| Free energy / atom (eV) |
-5.175 |
| Property |
Value |
| Band gap |
0.00 eV |
| E-fermi |
-4.079 eV |
| Vacuum level |
2.132 eV |
| VBM |
-4.345 eV |
| CBM |
-3.063 eV |
| Work function |
6.212 eV |
| Cij (N/m) |
xx |
yy |
xy |
| xx |
79.110 |
44.227 |
0.000 |
| yy |
44.227 |
72.640 |
0.000 |
| xy |
0.000 |
0.000 |
26.104 |
| Phonon mode at Γ point (THz) |
| -3.788 |
| -0.019 |
| -0.008 |
| 0.013 |
| 1.120 |
| 1.662 |
| 2.164 |
| 2.477 |
| 2.869 |
| 3.379 |
| 4.143 |
| 4.783 |
| 5.070 |
| 5.996 |
| 6.412 |
| 8.864 |
| 11.333 |
| 11.394 |
| Property |
Value |
| from where |
c2db-111 |