Br2Fe2N2
MatHub2d-1179-Br2Fe2N2
| Property |
Value |
| Space group |
(59, 'Pmmn') |
| Crystal system |
rectangular |
| Magnetic |
Yes |
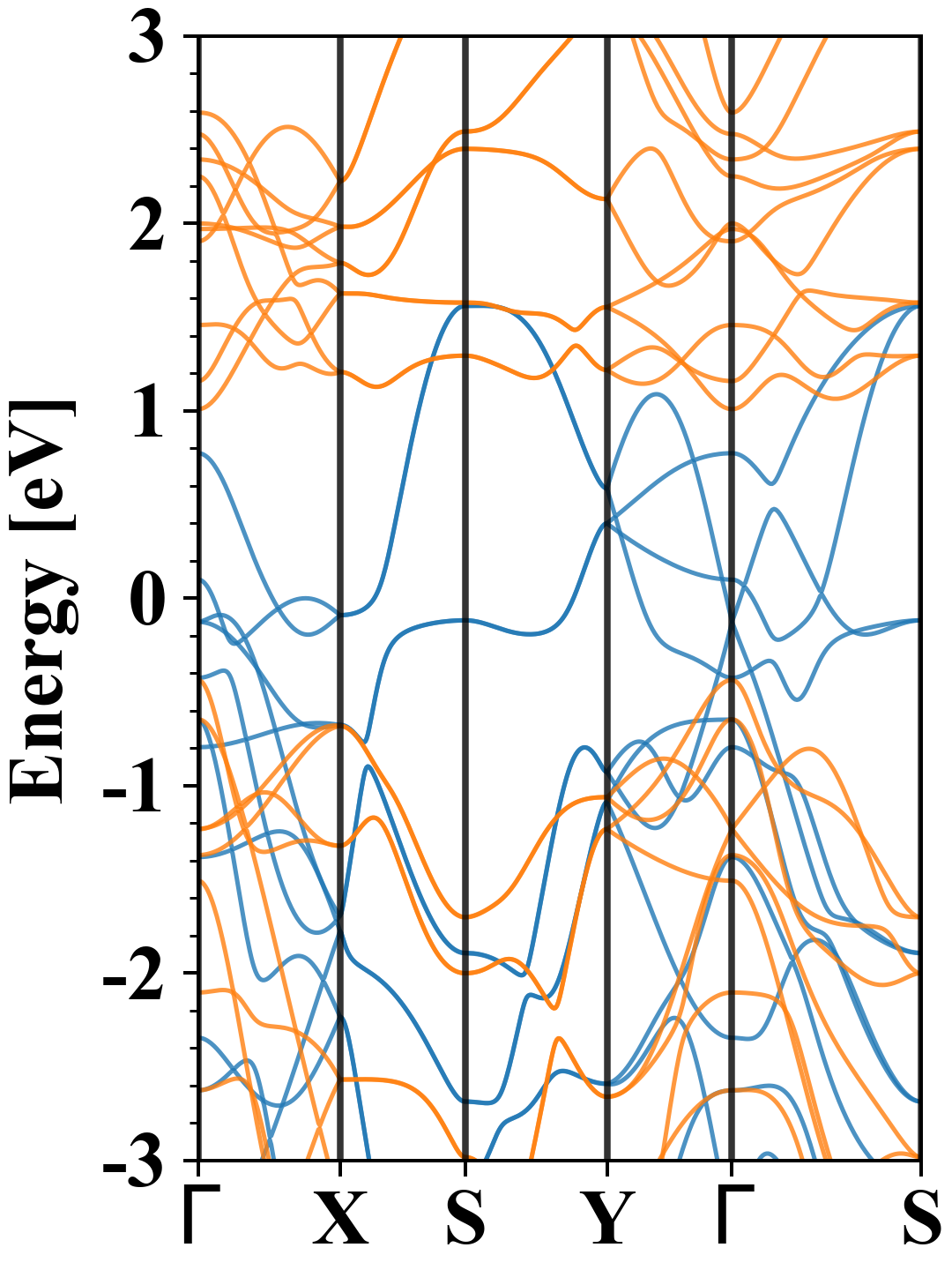
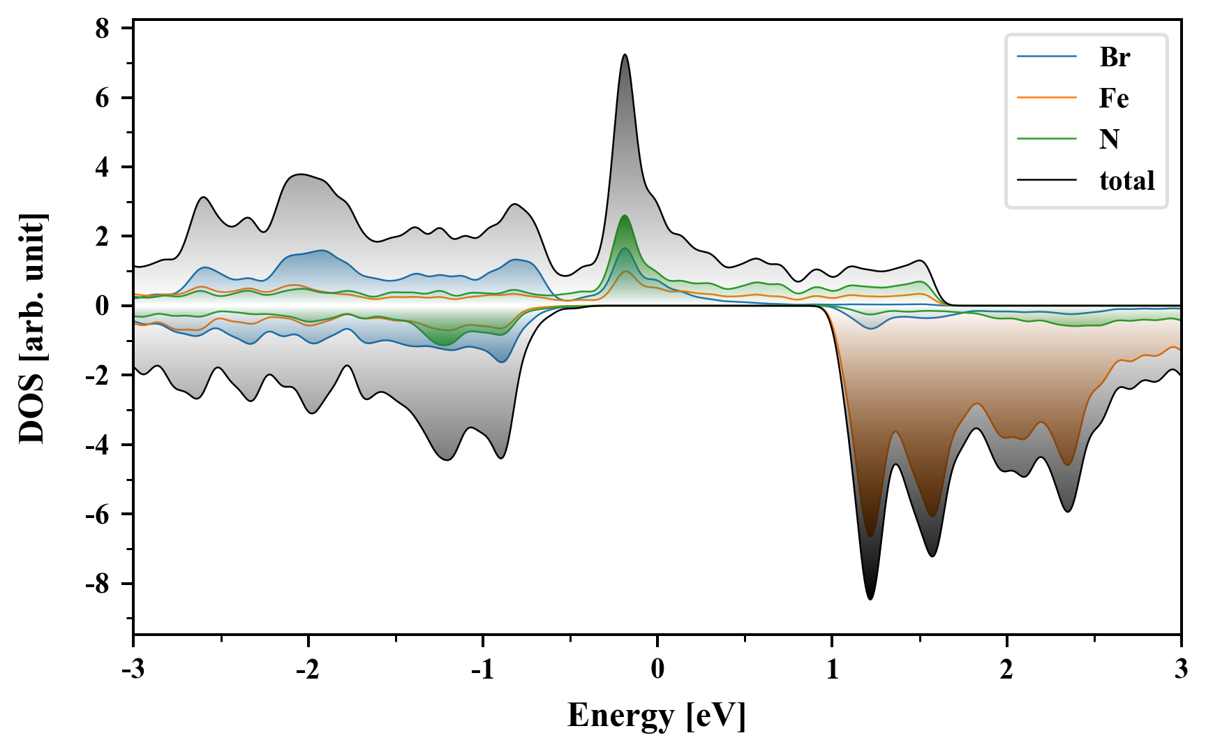
| Band gap (PBE) (eV) |
0.00 |
| Free energy (eV) |
-29.892 |
| Free energy / atom (eV) |
-4.982 |
Lattice Parameters (basic)
| a, b, c (Å): | 3.234 | 3.774 | 30.000 |
| α, β, γ (°): | 90.000 | 90.000 | 90.000 |
Lattice Parameters (computed)
| a, b, c (Å): | 3.415 | 3.872 | 30.000 |
| α, β, γ (°): | 90.000 | 90.000 | 90.000 |
| Property |
Value |
| Band gap |
0.00 eV |
| E-fermi |
-4.060 eV |
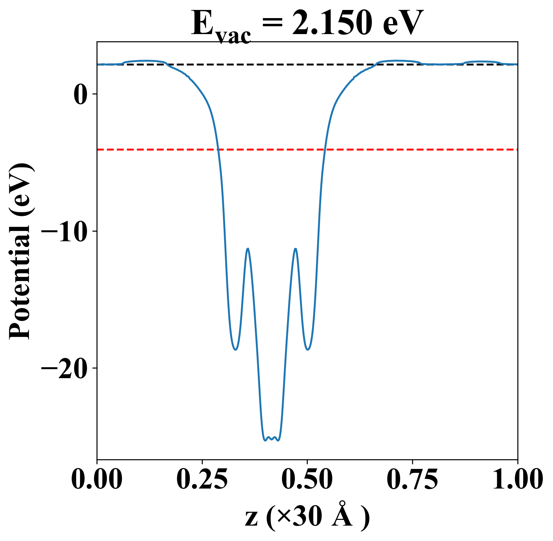
| Vacuum level |
2.150 eV |
| VBM |
-4.060 eV |
| CBM |
-4.057 eV |
| Work function |
6.210 eV |
| Direct gap |
No |
| Property |
Value |
| Band gap |
0.00 eV |
| E-fermi |
-4.060 eV |
| Vacuum level |
2.150 eV |
| VBM |
-4.060 eV |
| CBM |
-4.057 eV |
| Work function |
6.210 eV |
| Cij (N/m) |
xx |
yy |
xy |
| xx |
38.072 |
70.134 |
0.000 |
| yy |
70.134 |
48.399 |
0.000 |
| xy |
0.000 |
0.000 |
13.868 |
| Phonon mode at Γ point (THz) |
| -11.641 |
| -11.182 |
| -7.128 |
| -6.070 |
| -2.434 |
| -0.012 |
| -0.005 |
| -0.003 |
| 2.104 |
| 2.387 |
| 2.968 |
| 3.303 |
| 4.255 |
| 5.119 |
| 5.480 |
| 6.759 |
| 7.779 |
| 8.423 |
| Property |
Value |
| from where |
c2db-109 |