Br2Dy2S2
MatHub2d-1178-Br2Dy2S2
| Property |
Value |
| Space group |
(59, 'Pmmn') |
| Crystal system |
rectangular |
| Magnetic |
No |
| Band gap (PBE) (eV) |
2.93 |
| Free energy (eV) |
-32.787 |
| Free energy / atom (eV) |
-5.464 |
Lattice Parameters (basic)
| a, b, c (Å): | 4.041 | 5.340 | 30.000 |
| α, β, γ (°): | 90.000 | 90.000 | 90.000 |
Lattice Parameters (computed)
| a, b, c (Å): | 4.067 | 5.366 | 30.000 |
| α, β, γ (°): | 90.000 | 90.000 | 90.000 |
| Property |
Value |
| Band gap |
2.93 eV |
| E-fermi |
-4.458 eV |
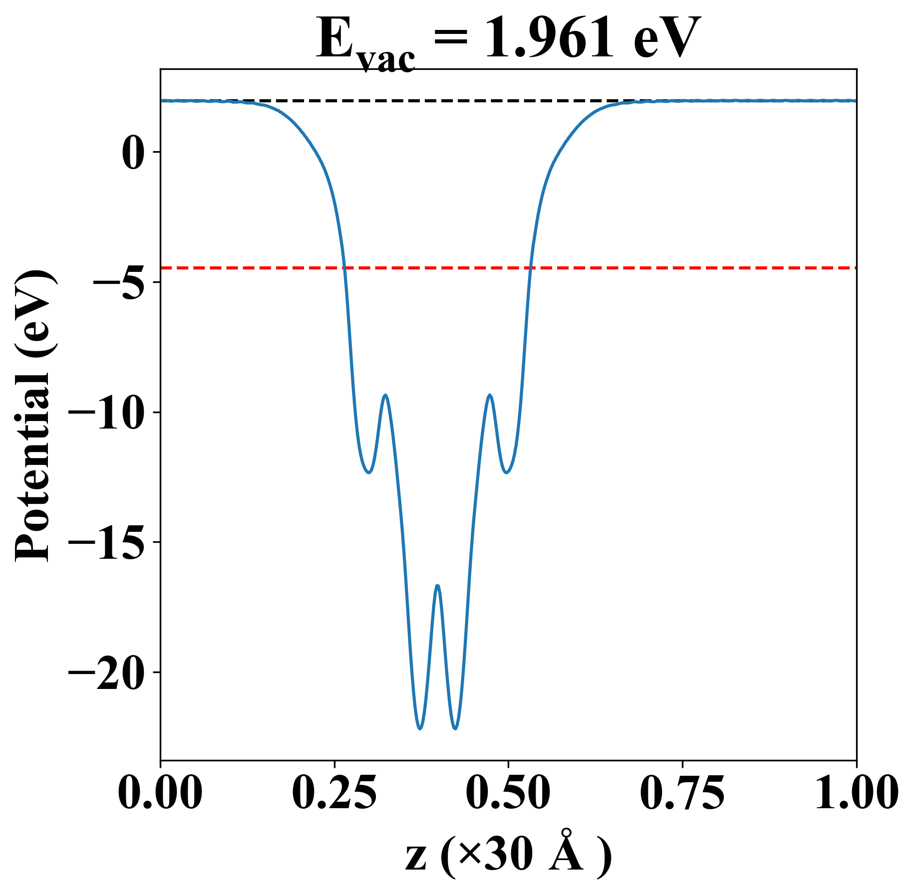
| Vacuum level |
1.961 eV |
| VBM |
-4.760 eV |
| CBM |
-1.834 eV |
| Work function |
6.419 eV |
| Direct gap |
Yes |
| Property |
Value |
| Band gap |
2.90 eV |
| E-fermi |
-4.512 eV |
| VBM |
-4.720 eV |
| CBM |
-1.824 eV |
| Free energy (eV) |
-33.378 |
| Free energy / atom (eV) |
-5.563 |
| Property |
Value |
| Band gap |
2.93 eV |
| E-fermi |
-4.458 eV |
| Vacuum level |
1.961 eV |
| VBM |
-4.760 eV |
| CBM |
-1.834 eV |
| Work function |
6.419 eV |
| Cij (N/m) |
xx |
yy |
xy |
| xx |
56.362 |
10.344 |
0.000 |
| yy |
10.344 |
76.437 |
0.000 |
| xy |
0.000 |
0.000 |
17.183 |
| Phonon mode at Γ point (THz) |
| -0.009 |
| -0.004 |
| -0.004 |
| 1.145 |
| 1.374 |
| 1.650 |
| 2.060 |
| 2.413 |
| 3.404 |
| 3.464 |
| 5.028 |
| 5.299 |
| 5.471 |
| 6.402 |
| 6.456 |
| 6.740 |
| 7.912 |
| 8.832 |
| Property |
Value |
| from where |
JVASP-6169 |