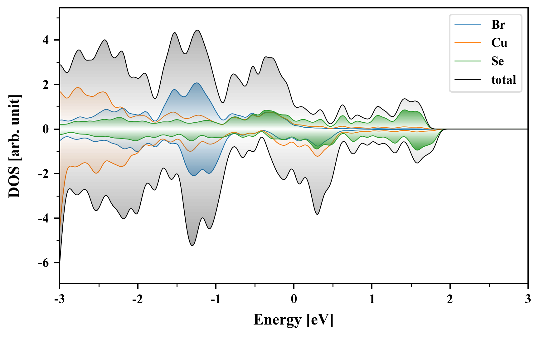
Br2Cu2Se2
MatHub2d-1177-Br2Cu2Se2
| Property |
Value |
| Space group |
(59, 'Pmmn') |
| Crystal system |
rectangular |
| Magnetic |
Yes |
| Band gap (PBE) (eV) |
0.00 |
| Free energy (eV) |
-15.617 |
| Free energy / atom (eV) |
-2.603 |
Lattice Parameters (basic)
| a, b, c (Å): | 3.591 | 4.815 | 30.000 |
| α, β, γ (°): | 90.000 | 90.000 | 90.000 |
Lattice Parameters (computed)
| a, b, c (Å): | 3.569 | 4.776 | 30.000 |
| α, β, γ (°): | 90.000 | 90.000 | 90.000 |
| Property |
Value |
| Band gap |
0.00 eV |
| E-fermi |
-3.796 eV |
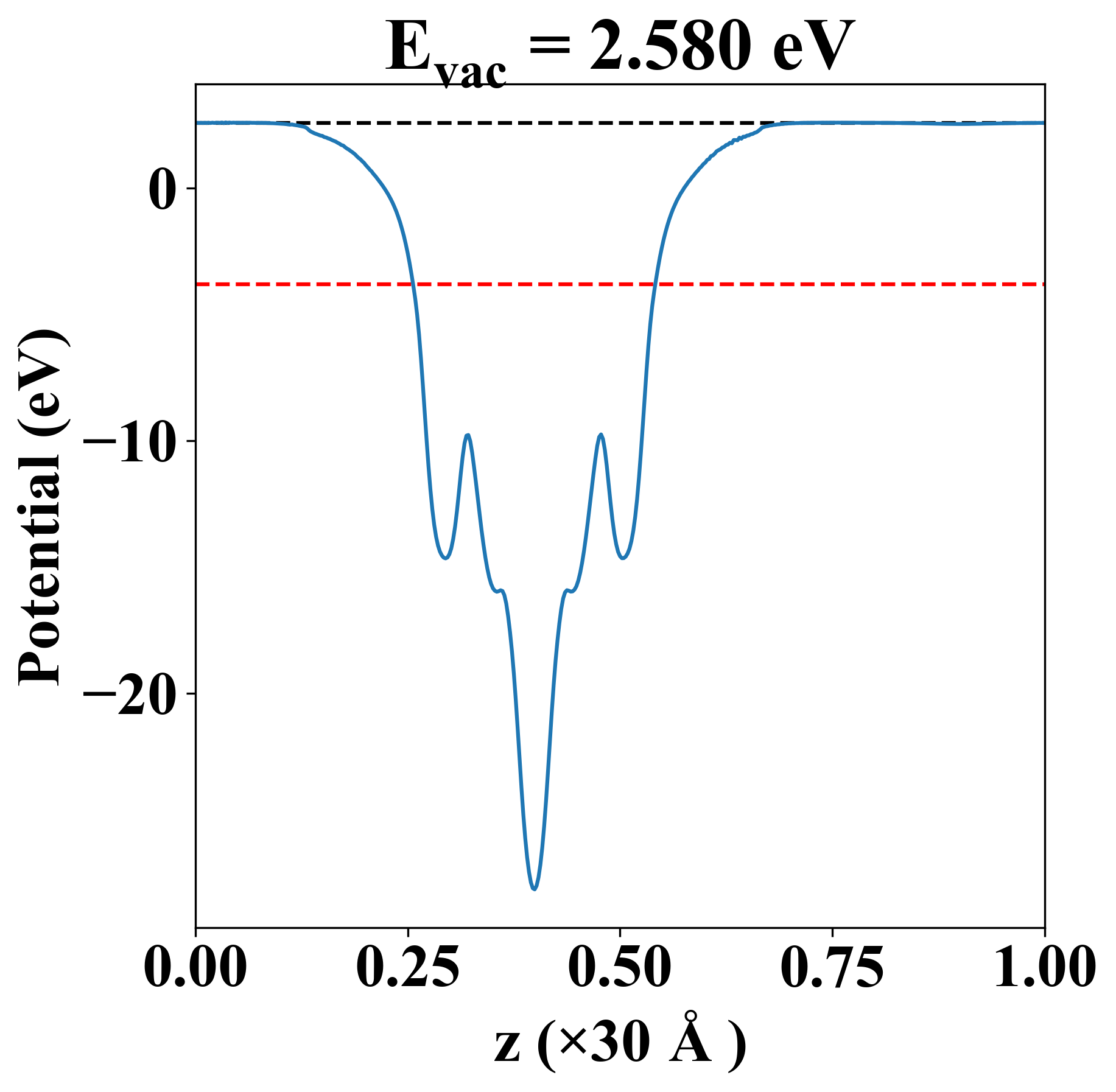
| Vacuum level |
2.580 eV |
| VBM |
-3.796 eV |
| CBM |
-3.796 eV |
| Work function |
6.376 eV |
| Direct gap |
Yes |
| Property |
Value |
| Band gap |
0.00 eV |
| E-fermi |
-3.796 eV |
| Vacuum level |
2.580 eV |
| VBM |
-3.796 eV |
| CBM |
-3.796 eV |
| Work function |
6.376 eV |
| Cij (N/m) |
xx |
yy |
xy |
| xx |
64.847 |
18.423 |
0.000 |
| yy |
18.423 |
24.026 |
0.000 |
| xy |
0.000 |
0.000 |
1.706 |
| Phonon mode at Γ point (THz) |
| -0.592 |
| -0.390 |
| -0.035 |
| -0.017 |
| -0.002 |
| 1.182 |
| 1.229 |
| 1.260 |
| 1.732 |
| 2.327 |
| 2.713 |
| 4.178 |
| 4.307 |
| 4.389 |
| 5.948 |
| 5.950 |
| 6.137 |
| 6.246 |
| Property |
Value |
| from where |
c2db-108 |