Br2Cu2S2
MatHub2d-1176-Br2Cu2S2
| Property |
Value |
| Space group |
(59, 'Pmmn') |
| Crystal system |
rectangular |
| Magnetic |
Yes |
| Band gap (PBE) (eV) |
0.00 |
| Free energy (eV) |
-16.312 |
| Free energy / atom (eV) |
-2.719 |
Lattice Parameters (basic)
| a, b, c (Å): | 3.488 | 4.686 | 30.000 |
| α, β, γ (°): | 90.000 | 90.000 | 90.000 |
Lattice Parameters (computed)
| a, b, c (Å): | 3.465 | 4.652 | 30.000 |
| α, β, γ (°): | 90.000 | 90.000 | 90.000 |
| Property |
Value |
| Band gap |
0.00 eV |
| E-fermi |
-3.780 eV |
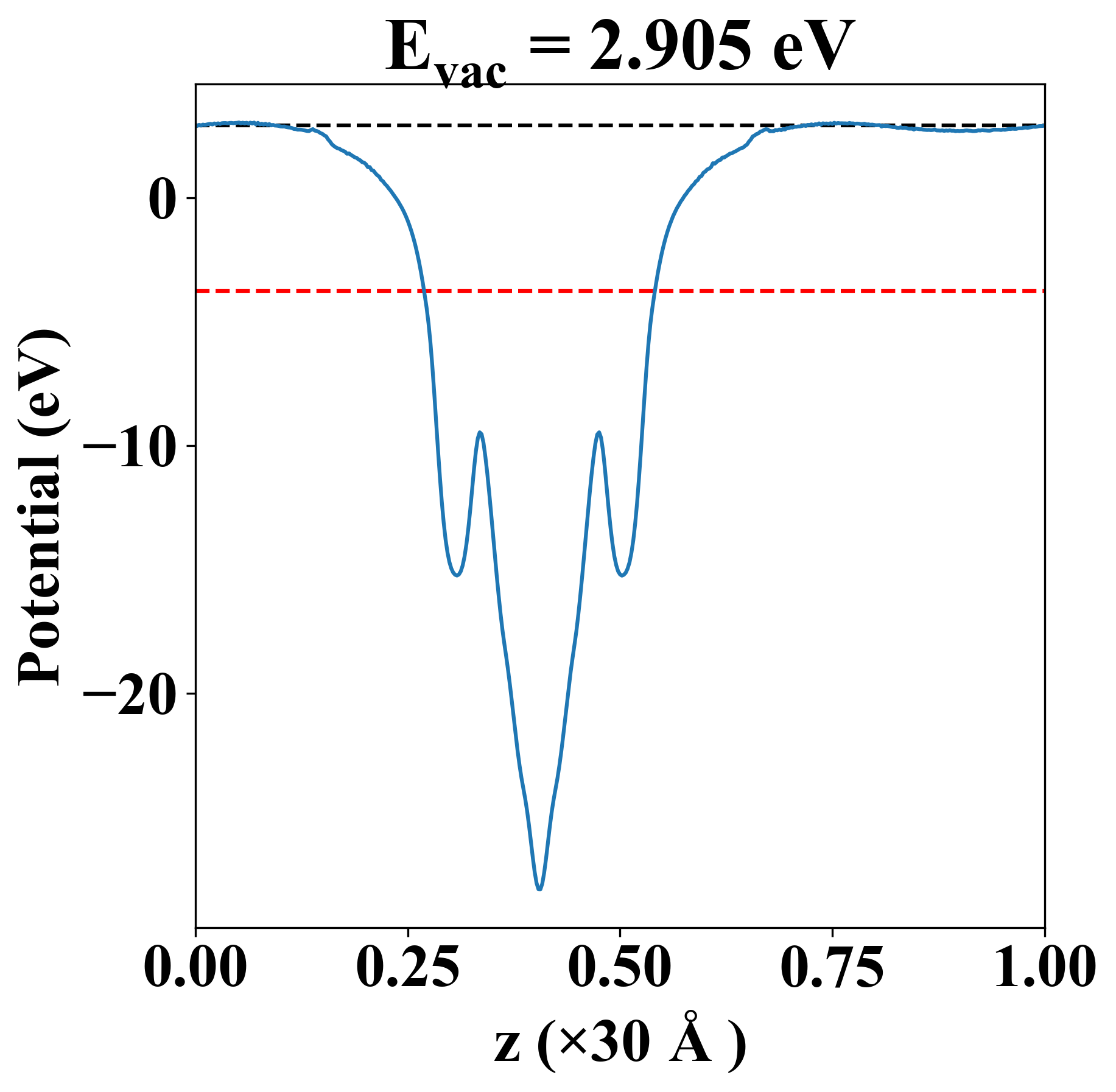
| Vacuum level |
2.905 eV |
| VBM |
-3.780 eV |
| CBM |
-3.780 eV |
| Work function |
6.685 eV |
| Direct gap |
No |
| Property |
Value |
| Band gap |
0.00 eV |
| E-fermi |
-3.780 eV |
| Vacuum level |
2.905 eV |
| VBM |
-3.780 eV |
| CBM |
-3.780 eV |
| Work function |
6.685 eV |
| Cij (N/m) |
xx |
yy |
xy |
| xx |
67.849 |
13.889 |
0.000 |
| yy |
13.889 |
29.814 |
0.000 |
| xy |
0.000 |
0.000 |
-0.676 |
| Phonon mode at Γ point (THz) |
| -0.014 |
| -0.011 |
| -0.009 |
| 0.946 |
| 1.137 |
| 1.717 |
| 1.882 |
| 1.910 |
| 2.686 |
| 3.261 |
| 4.586 |
| 5.291 |
| 5.696 |
| 7.090 |
| 7.177 |
| 7.459 |
| 7.586 |
| 7.823 |
| Property |
Value |
| from where |
c2db-97 |