Br2Cu2O2
MatHub2d-1175-Br2Cu2O2
| Property |
Value |
| Space group |
(59, 'Pmmn') |
| Crystal system |
rectangular |
| Magnetic |
Yes |
| Band gap (PBE) (eV) |
0.00 |
| Free energy (eV) |
-19.147 |
| Free energy / atom (eV) |
-3.191 |
Lattice Parameters (basic)
| a, b, c (Å): | 3.277 | 3.824 | 30.000 |
| α, β, γ (°): | 90.000 | 90.000 | 90.000 |
Lattice Parameters (computed)
| a, b, c (Å): | 3.158 | 3.998 | 30.000 |
| α, β, γ (°): | 90.000 | 90.000 | 90.000 |
| Property |
Value |
| Band gap |
0.00 eV |
| E-fermi |
-4.062 eV |
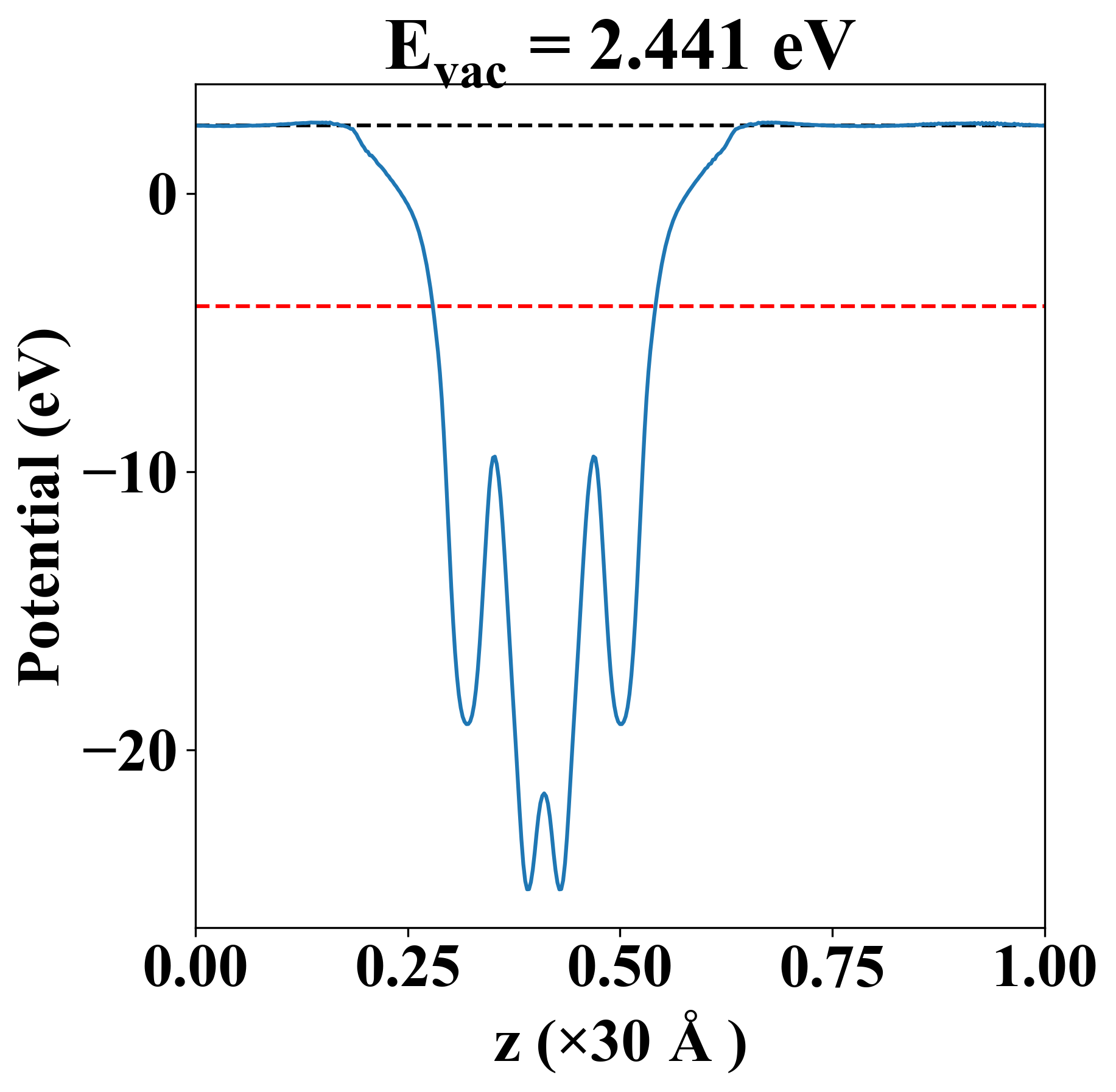
| Vacuum level |
2.441 eV |
| VBM |
-4.063 eV |
| CBM |
-4.062 eV |
| Work function |
6.503 eV |
| Direct gap |
No |
| Property |
Value |
| Band gap |
0.00 eV |
| E-fermi |
-4.062 eV |
| Vacuum level |
2.441 eV |
| VBM |
-4.063 eV |
| CBM |
-4.062 eV |
| Work function |
6.503 eV |
| Cij (N/m) |
xx |
yy |
xy |
| xx |
81.681 |
14.462 |
0.000 |
| yy |
14.462 |
60.370 |
0.000 |
| xy |
0.000 |
0.000 |
20.112 |
| Phonon mode at Γ point (THz) |
| -0.038 |
| -0.021 |
| -0.004 |
| 1.355 |
| 1.540 |
| 2.194 |
| 3.126 |
| 3.290 |
| 5.421 |
| 5.704 |
| 5.726 |
| 6.402 |
| 9.882 |
| 10.480 |
| 10.839 |
| 10.852 |
| 11.881 |
| 14.698 |
| Property |
Value |
| from where |
c2db-96 |