Br2Cu2N2
MatHub2d-1174-Br2Cu2N2
| Property |
Value |
| Space group |
(59, 'Pmmn') |
| Crystal system |
rectangular |
| Magnetic |
Yes |
| Band gap (PBE) (eV) |
0.00 |
| Free energy (eV) |
-19.633 |
| Free energy / atom (eV) |
-3.272 |
Lattice Parameters (basic)
| a, b, c (Å): | 3.277 | 3.793 | 30.000 |
| α, β, γ (°): | 90.000 | 90.000 | 90.000 |
Lattice Parameters (computed)
| a, b, c (Å): | 3.259 | 3.780 | 30.000 |
| α, β, γ (°): | 90.000 | 90.000 | 90.000 |
| Property |
Value |
| Band gap |
0.00 eV |
| E-fermi |
-3.746 eV |
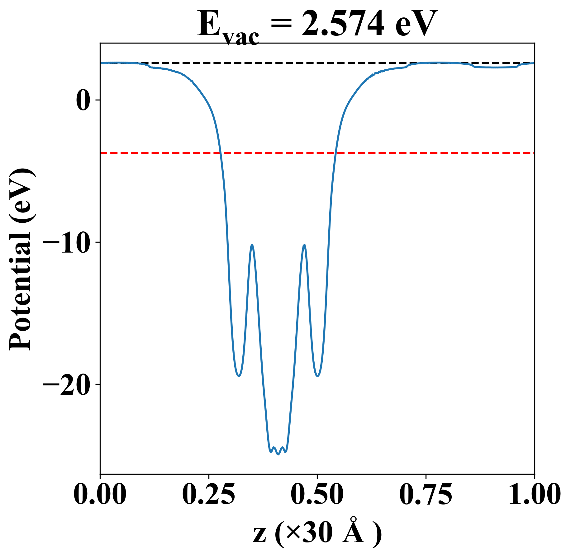
| Vacuum level |
2.574 eV |
| VBM |
-3.747 eV |
| CBM |
-3.745 eV |
| Work function |
6.320 eV |
| Direct gap |
No |
| Property |
Value |
| Band gap |
0.00 eV |
| E-fermi |
-3.746 eV |
| Vacuum level |
2.574 eV |
| VBM |
-3.747 eV |
| CBM |
-3.745 eV |
| Work function |
6.320 eV |
| Property |
Value |
| from where |
c2db-94 |