Br2Cr2Se2
MatHub2d-1173-Br2Cr2Se2
| Property |
Value |
| Space group |
(59, 'Pmmn') |
| Crystal system |
rectangular |
| Magnetic |
Yes |
| Band gap (PBE) (eV) |
0.13 |
| Free energy (eV) |
-29.149 |
| Free energy / atom (eV) |
-4.858 |
Lattice Parameters (basic)
| a, b, c (Å): | 3.635 | 5.042 | 30.000 |
| α, β, γ (°): | 90.000 | 90.000 | 90.000 |
Lattice Parameters (computed)
| a, b, c (Å): | 3.685 | 5.133 | 30.000 |
| α, β, γ (°): | 90.000 | 90.000 | 90.000 |
| Property |
Value |
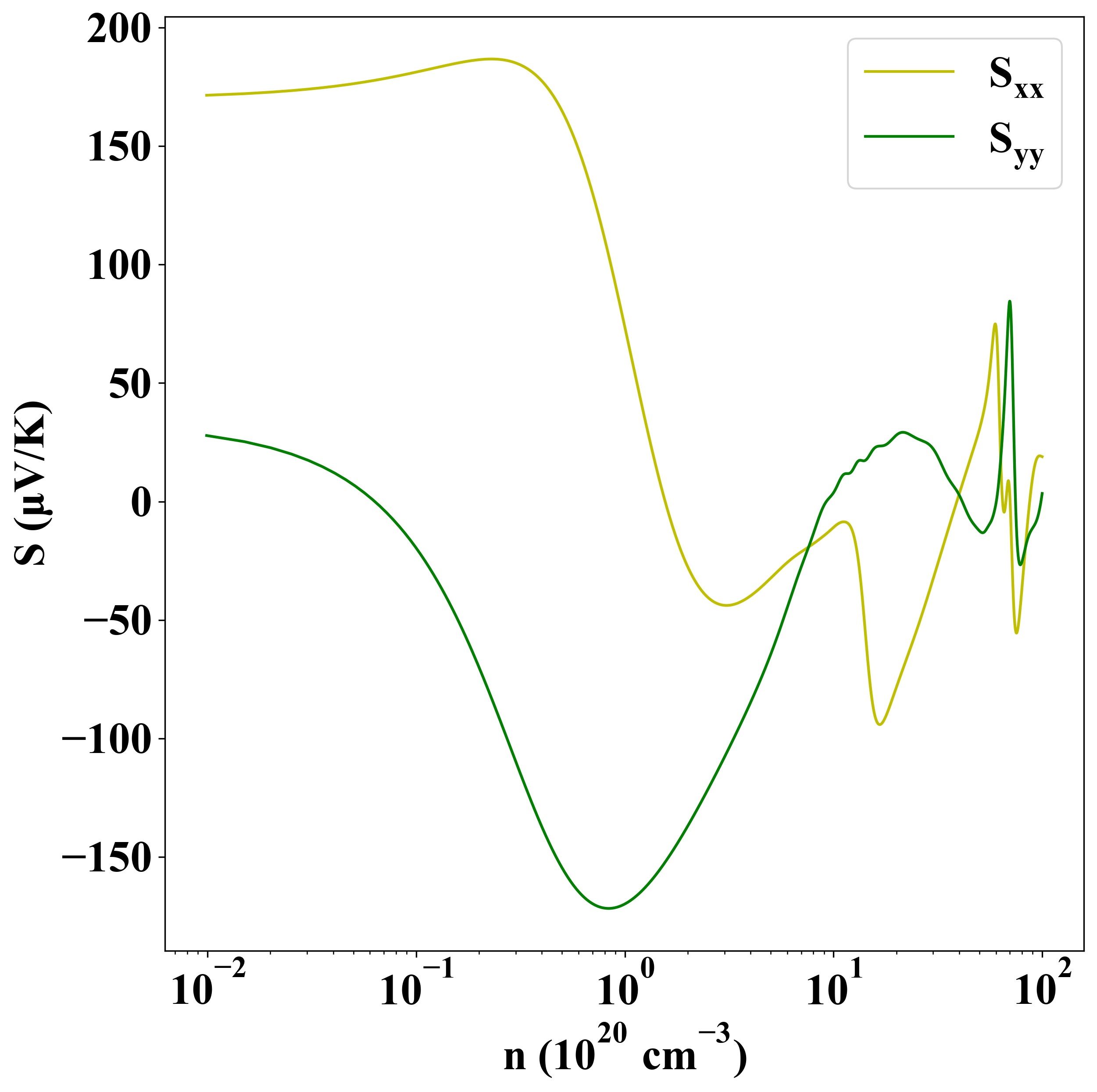
| Band gap |
0.13 eV |
| E-fermi |
-3.789 eV |
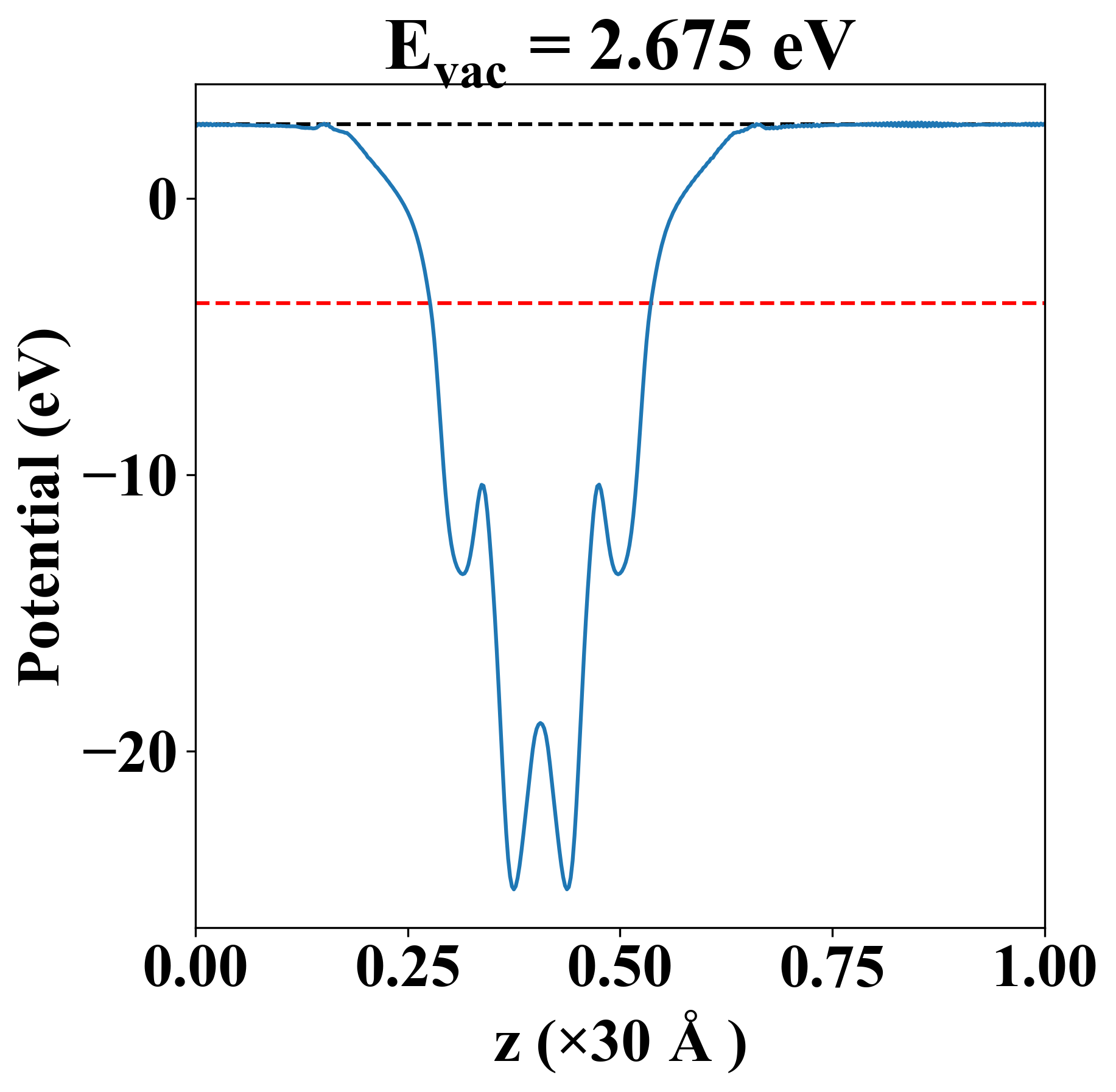
| Vacuum level |
2.675 eV |
| VBM |
-3.847 eV |
| CBM |
-3.716 eV |
| Work function |
6.464 eV |
| Direct gap |
No |
| Property |
Value |
| Band gap |
0.13 eV |
| E-fermi |
-3.789 eV |
| Vacuum level |
2.675 eV |
| VBM |
-3.847 eV |
| CBM |
-3.716 eV |
| Work function |
6.464 eV |
| Cij (N/m) |
xx |
yy |
xy |
| xx |
-16.403 |
-64.212 |
0.000 |
| yy |
-64.212 |
-44.917 |
0.000 |
| xy |
0.000 |
0.000 |
13.442 |
| Phonon mode at Γ point (THz) |
| Property |
Value |
| from where |
c2db-76 |