Br2Cr2S2
MatHub2d-1172-Br2Cr2S2
| Property |
Value |
| Space group |
(59, 'Pmmn') |
| Crystal system |
rectangular |
| Magnetic |
Yes |
| Band gap (PBE) (eV) |
0.75 |
| Free energy (eV) |
-30.940 |
| Free energy / atom (eV) |
-5.157 |
Lattice Parameters (basic)
| a, b, c (Å): | 3.544 | 4.761 | 30.000 |
| α, β, γ (°): | 90.000 | 90.000 | 90.000 |
Lattice Parameters (computed)
| a, b, c (Å): | 3.596 | 4.836 | 30.000 |
| α, β, γ (°): | 90.000 | 90.000 | 90.000 |
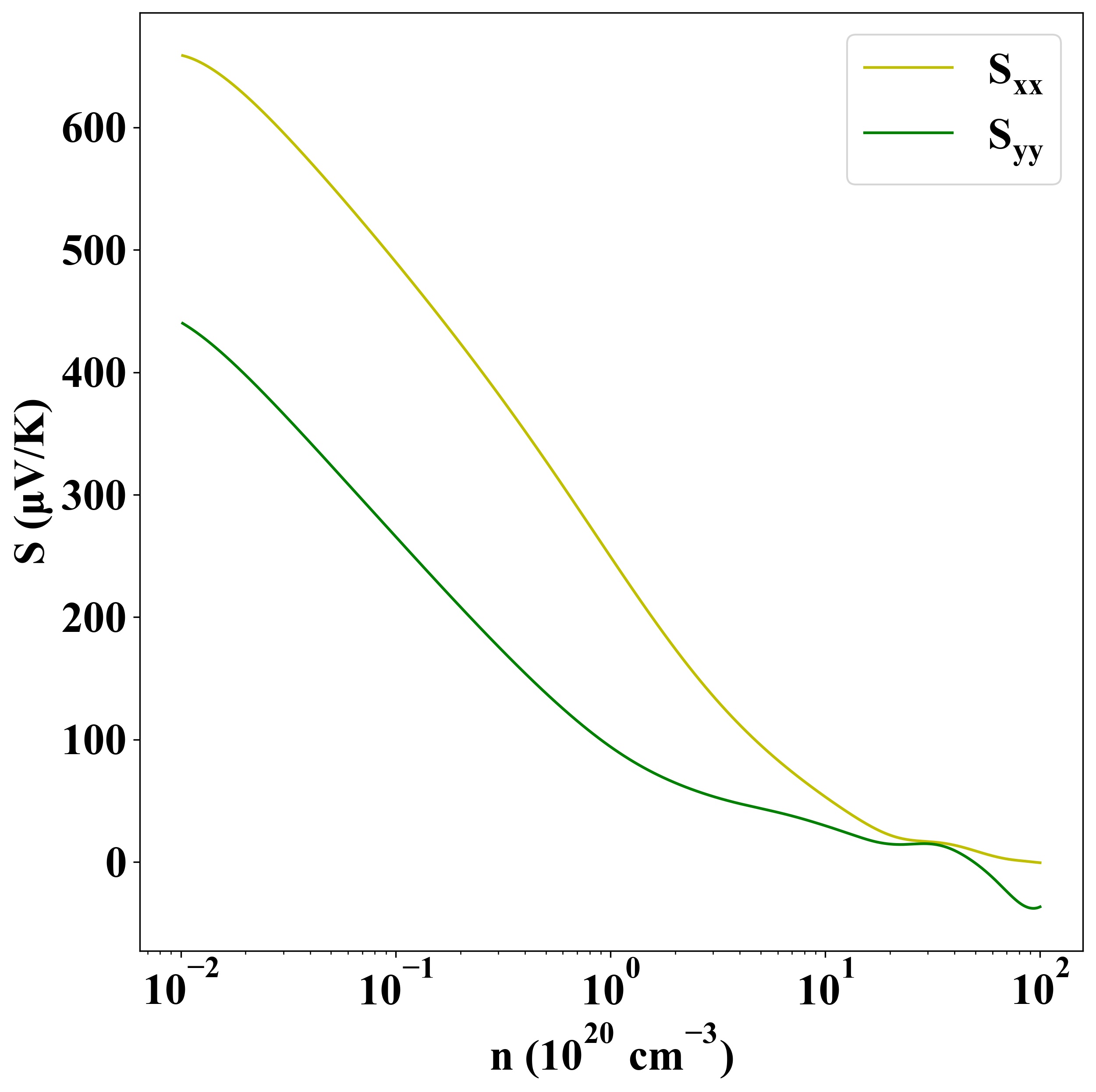
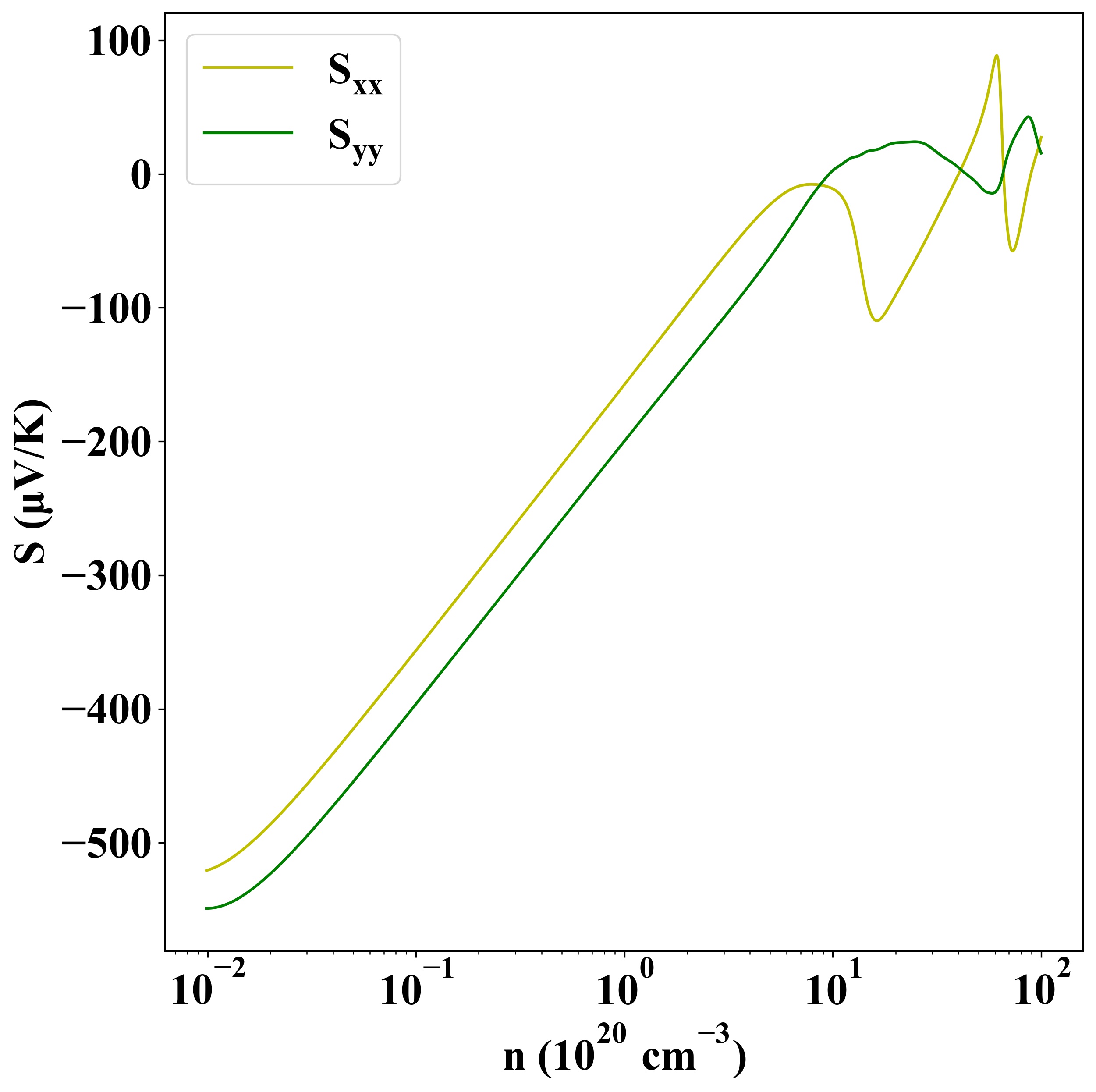
| Property |
Value |
| Band gap |
0.75 eV |
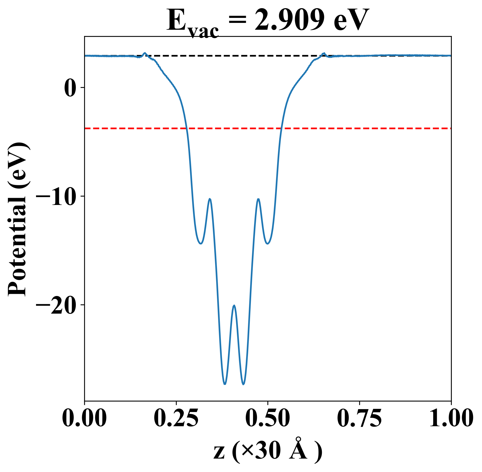
| E-fermi |
-3.785 eV |
| Vacuum level |
2.909 eV |
| VBM |
-4.083 eV |
| CBM |
-3.336 eV |
| Work function |
6.695 eV |
| Direct gap |
No |
| Property |
Value |
| Band gap |
0.72 eV |
| E-fermi |
-3.841 eV |
| VBM |
-4.049 eV |
| CBM |
-3.334 eV |
| Free energy (eV) |
-31.021 |
| Free energy / atom (eV) |
-5.170 |
| Property |
Value |
| Band gap |
0.75 eV |
| E-fermi |
-3.785 eV |
| Vacuum level |
2.909 eV |
| VBM |
-4.083 eV |
| CBM |
-3.336 eV |
| Work function |
6.695 eV |
| Cij (N/m) |
xx |
yy |
xy |
| xx |
19.677 |
-39.889 |
0.000 |
| yy |
-39.889 |
-41.512 |
0.000 |
| xy |
0.000 |
0.000 |
10.112 |
| Phonon mode at Γ point (THz) |
| Property |
Value |
| from where |
c2db-74 |