Br2Cr2O2
MatHub2d-1171-Br2Cr2O2
| Property |
Value |
| Space group |
(59, 'Pmmn') |
| Crystal system |
rectangular |
| Magnetic |
Yes |
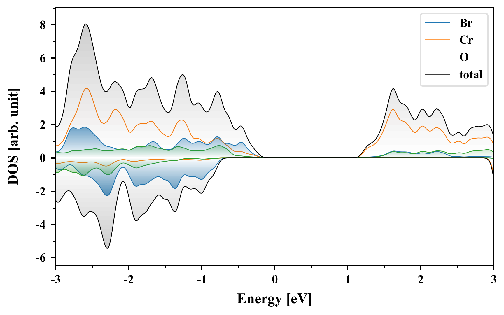
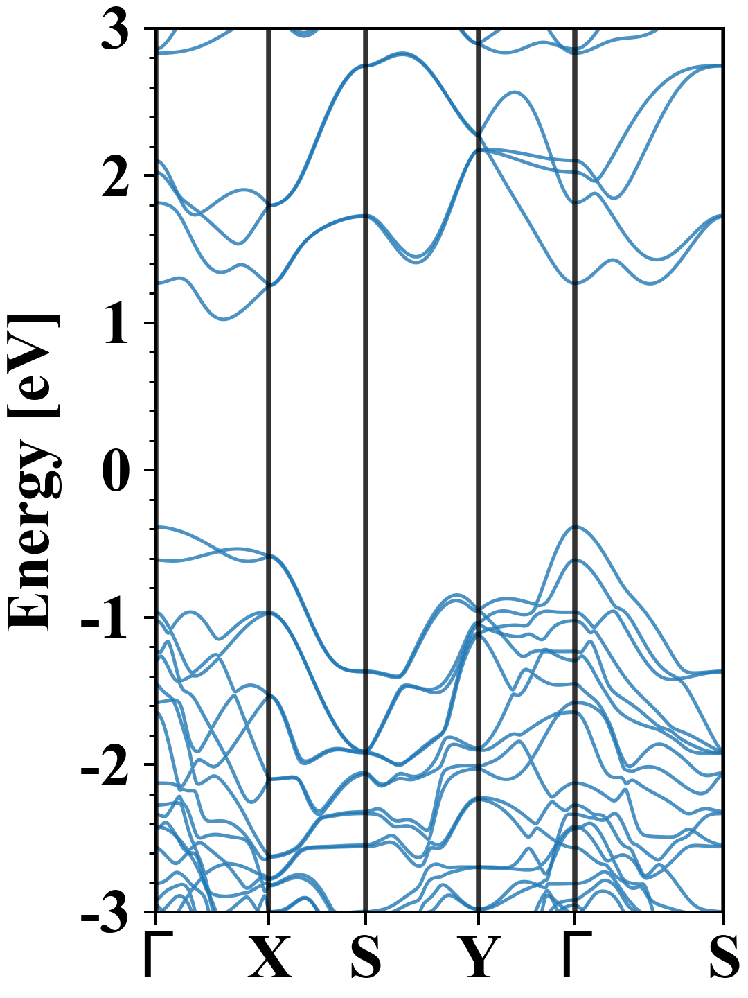
| Band gap (PBE) (eV) |
1.43 |
| Free energy (eV) |
-36.663 |
| Free energy / atom (eV) |
-6.111 |
Lattice Parameters (basic)
| a, b, c (Å): | 3.297 | 3.861 | 30.000 |
| α, β, γ (°): | 90.000 | 90.000 | 90.000 |
Lattice Parameters (computed)
| a, b, c (Å): | 3.346 | 3.937 | 30.000 |
| α, β, γ (°): | 90.000 | 90.000 | 90.000 |
| Property |
Value |
| Band gap |
1.43 eV |
| E-fermi |
-3.663 eV |
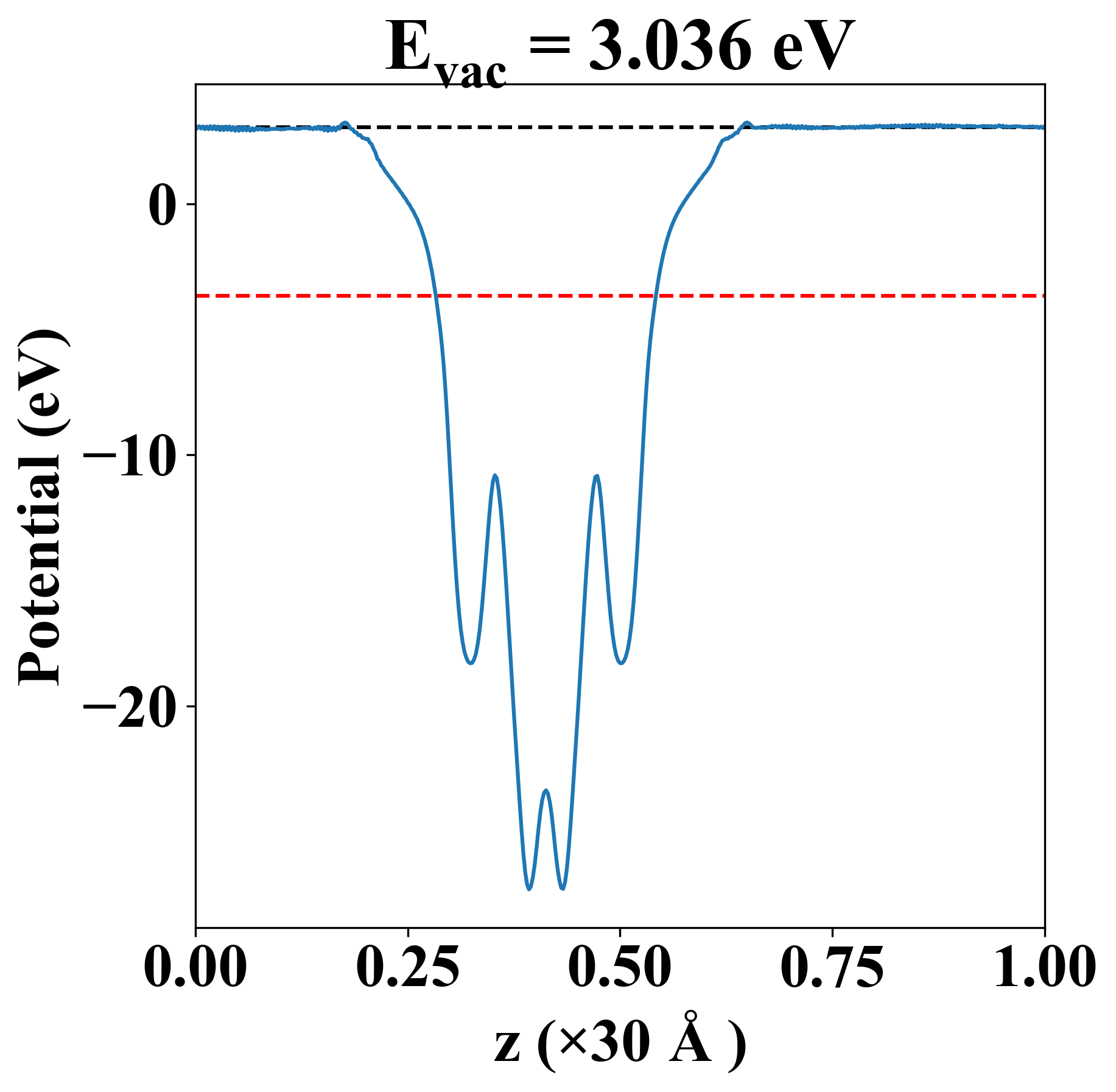
| Vacuum level |
3.036 eV |
| VBM |
-3.952 eV |
| CBM |
-2.527 eV |
| Work function |
6.699 eV |
| Direct gap |
No |
| Property |
Value |
| Band gap |
1.41 eV |
| E-fermi |
-3.557 eV |
| VBM |
-3.943 eV |
| CBM |
-2.534 eV |
| Free energy (eV) |
-36.742 |
| Free energy / atom (eV) |
-6.124 |
| Property |
Value |
| Band gap |
1.43 eV |
| E-fermi |
-3.663 eV |
| Vacuum level |
3.036 eV |
| VBM |
-3.952 eV |
| CBM |
-2.527 eV |
| Work function |
6.699 eV |
| Cij (N/m) |
xx |
yy |
xy |
| xx |
59.091 |
-22.994 |
0.000 |
| yy |
-22.994 |
-43.064 |
0.000 |
| xy |
0.000 |
0.000 |
1.247 |
| Phonon mode at Γ point (THz) |
| Property |
Value |
| from where |
JVASP-6829 |