Br2Cr2N2
MatHub2d-1170-Br2Cr2N2
| Property |
Value |
| Space group |
(59, 'Pmmn') |
| Crystal system |
rectangular |
| Magnetic |
Yes |
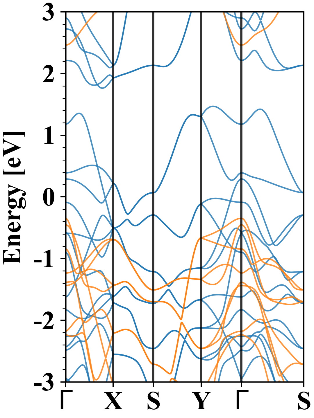
| Band gap (PBE) (eV) |
0.00 |
| Free energy (eV) |
-35.778 |
| Free energy / atom (eV) |
-5.963 |
Lattice Parameters (basic)
| a, b, c (Å): | 3.230 | 3.837 | 30.000 |
| α, β, γ (°): | 90.000 | 90.000 | 90.000 |
Lattice Parameters (computed)
| a, b, c (Å): | 3.368 | 4.001 | 30.000 |
| α, β, γ (°): | 90.000 | 90.000 | 90.000 |
| Property |
Value |
| Band gap |
0.00 eV |
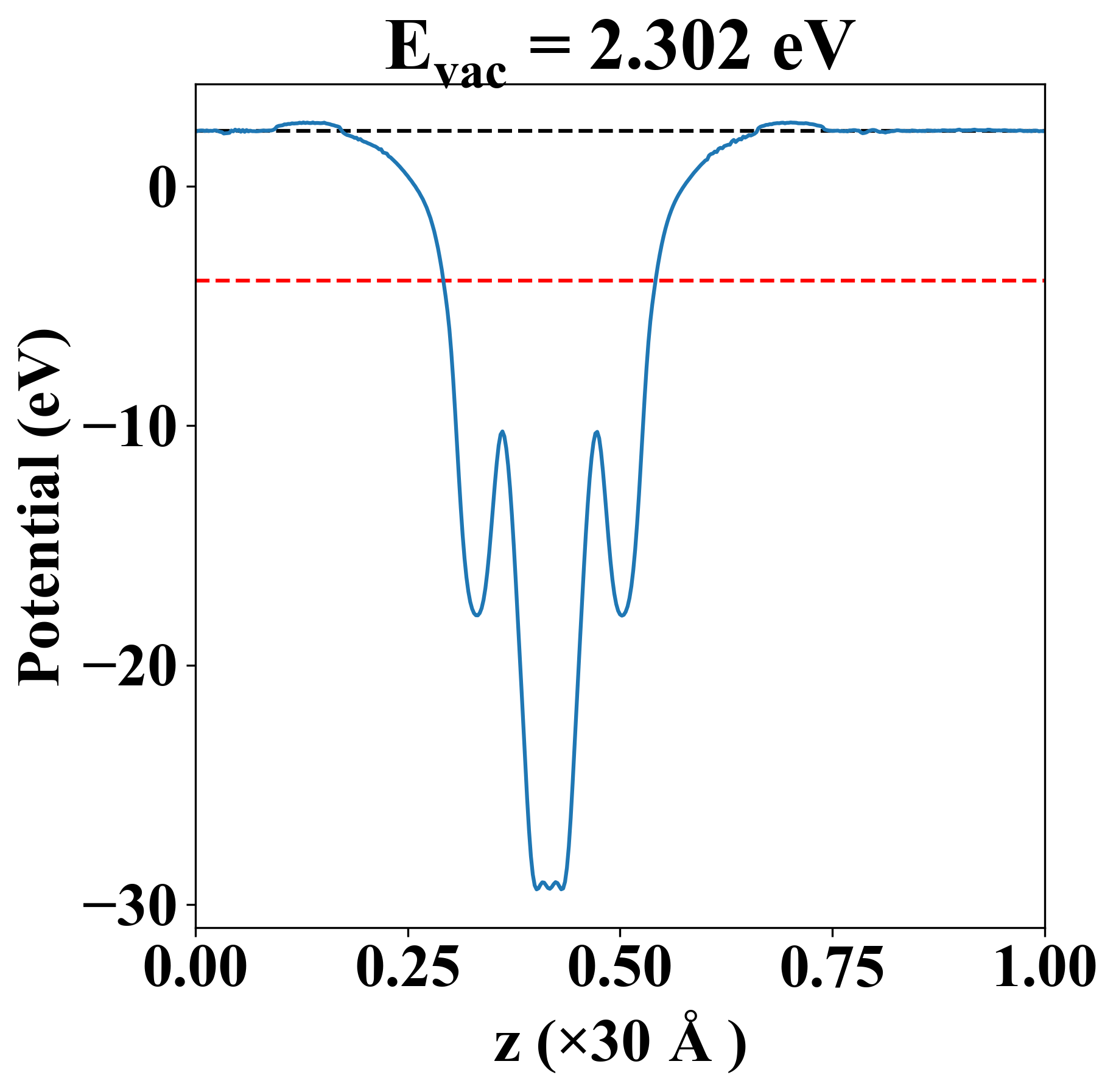
| E-fermi |
-3.950 eV |
| Vacuum level |
2.302 eV |
| VBM |
-3.951 eV |
| CBM |
-3.950 eV |
| Work function |
6.252 eV |
| Direct gap |
No |
| Property |
Value |
| Band gap |
0.00 eV |
| E-fermi |
-3.950 eV |
| Vacuum level |
2.302 eV |
| VBM |
-3.951 eV |
| CBM |
-3.950 eV |
| Work function |
6.252 eV |
| Property |
Value |
| from where |
c2db-70 |