Br2Co2S2
MatHub2d-1168-Br2Co2S2
| Property |
Value |
| Space group |
(59, 'Pmmn') |
| Crystal system |
rectangular |
| Magnetic |
No |
| Band gap (PBE) (eV) |
0.38 |
| Free energy (eV) |
-20.652 |
| Free energy / atom (eV) |
-3.442 |
Lattice Parameters (basic)
| a, b, c (Å): | 3.407 | 4.421 | 30.000 |
| α, β, γ (°): | 90.000 | 90.000 | 90.000 |
Lattice Parameters (computed)
| a, b, c (Å): | 3.397 | 4.481 | 30.000 |
| α, β, γ (°): | 90.000 | 90.000 | 90.000 |
| Property |
Value |
| Band gap |
0.38 eV |
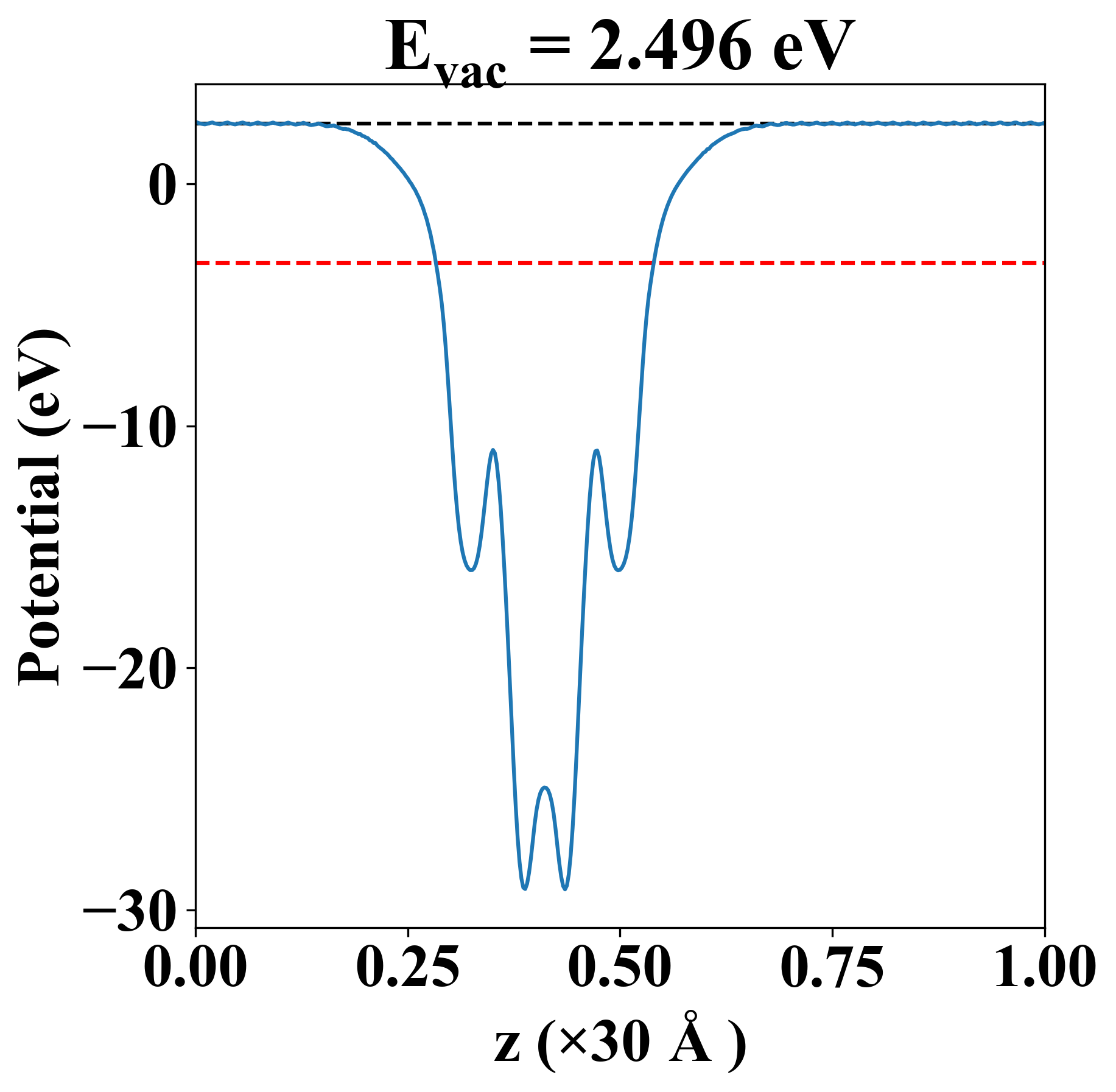
| E-fermi |
-3.260 eV |
| Vacuum level |
2.496 eV |
| VBM |
-3.447 eV |
| CBM |
-3.069 eV |
| Work function |
5.756 eV |
| Direct gap |
No |
| Property |
Value |
| Band gap |
0.38 eV |
| E-fermi |
-3.260 eV |
| Vacuum level |
2.496 eV |
| VBM |
-3.447 eV |
| CBM |
-3.069 eV |
| Work function |
5.756 eV |
| Cij (N/m) |
xx |
yy |
xy |
| xx |
105.750 |
12.957 |
0.000 |
| yy |
12.957 |
99.564 |
0.000 |
| xy |
0.000 |
0.000 |
24.208 |
| Phonon mode at Γ point (THz) |
| Property |
Value |
| from where |
c2db-60 |