Br2Co2O2
MatHub2d-1167-Br2Co2O2
| Property |
Value |
| Space group |
(59, 'Pmmn') |
| Crystal system |
rectangular |
| Magnetic |
Yes |
| Band gap (PBE) (eV) |
0.00 |
| Free energy (eV) |
-25.491 |
| Free energy / atom (eV) |
-4.249 |
Lattice Parameters (basic)
| a, b, c (Å): | 3.173 | 3.751 | 30.000 |
| α, β, γ (°): | 90.000 | 90.000 | 90.000 |
Lattice Parameters (computed)
| a, b, c (Å): | 3.471 | 3.697 | 30.000 |
| α, β, γ (°): | 90.000 | 90.000 | 90.000 |
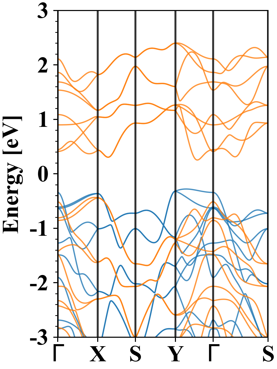
| Property |
Value |
| Band gap |
0.00 eV |
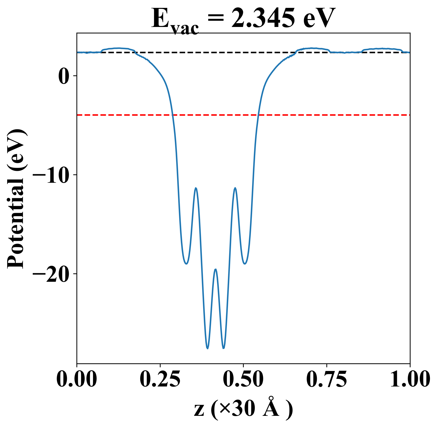
| E-fermi |
-3.970 eV |
| Vacuum level |
2.345 eV |
| VBM |
-4.249 eV |
| CBM |
-3.716 eV |
| Work function |
6.315 eV |
| Direct gap |
No |
| Property |
Value |
| Band gap |
0.50 eV |
| E-fermi |
-4.000 eV |
| VBM |
-4.231 eV |
| CBM |
-3.729 eV |
| Free energy (eV) |
-25.578 |
| Free energy / atom (eV) |
-4.263 |
| Property |
Value |
| Band gap |
0.00 eV |
| E-fermi |
-3.970 eV |
| Vacuum level |
2.345 eV |
| VBM |
-4.249 eV |
| CBM |
-3.716 eV |
| Work function |
6.315 eV |
| Cij (N/m) |
xx |
yy |
xy |
| xx |
51.572 |
62.338 |
0.000 |
| yy |
62.338 |
117.571 |
0.000 |
| xy |
0.000 |
0.000 |
35.607 |
| Phonon mode at Γ point (THz) |
| Property |
Value |
| from where |
c2db-59 |