Br2Co2N2
MatHub2d-1166-Br2Co2N2
| Property |
Value |
| Space group |
(59, 'Pmmn') |
| Crystal system |
rectangular |
| Magnetic |
Yes |
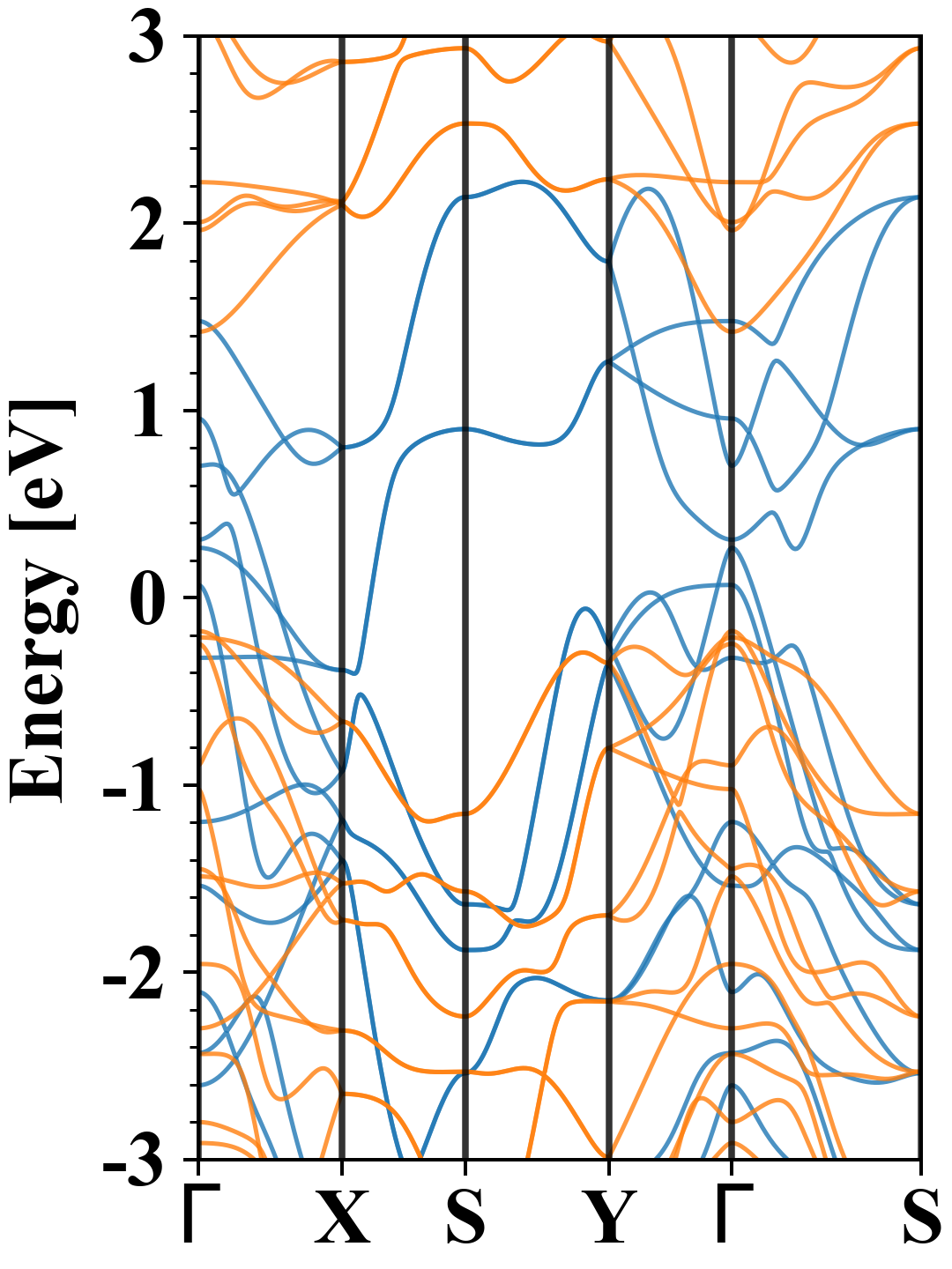
| Band gap (PBE) (eV) |
0.00 |
| Free energy (eV) |
-25.290 |
| Free energy / atom (eV) |
-4.215 |
Lattice Parameters (basic)
| a, b, c (Å): | 3.166 | 3.735 | 30.000 |
| α, β, γ (°): | 90.000 | 90.000 | 90.000 |
Lattice Parameters (computed)
| a, b, c (Å): | 3.283 | 3.834 | 30.000 |
| α, β, γ (°): | 90.000 | 90.000 | 90.000 |
| Property |
Value |
| Band gap |
0.00 eV |
| E-fermi |
-3.729 eV |
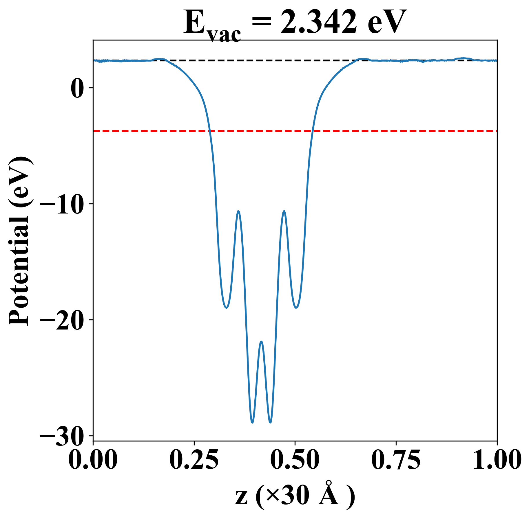
| Vacuum level |
2.342 eV |
| VBM |
-3.730 eV |
| CBM |
-3.728 eV |
| Work function |
6.071 eV |
| Direct gap |
No |
| Property |
Value |
| Band gap |
0.00 eV |
| E-fermi |
-3.729 eV |
| Vacuum level |
2.342 eV |
| VBM |
-3.730 eV |
| CBM |
-3.728 eV |
| Work function |
6.071 eV |
| Cij (N/m) |
xx |
yy |
xy |
| xx |
66.714 |
34.187 |
0.000 |
| yy |
34.187 |
107.150 |
0.000 |
| xy |
0.000 |
0.000 |
19.478 |
| Phonon mode at Γ point (THz) |
| -5.820 |
| -5.729 |
| -5.008 |
| -3.798 |
| -0.007 |
| 0.006 |
| 0.006 |
| 1.935 |
| 2.467 |
| 3.154 |
| 3.258 |
| 4.918 |
| 5.732 |
| 5.746 |
| 6.294 |
| 9.543 |
| 9.819 |
| 11.743 |
| Property |
Value |
| from where |
c2db-58 |