Bi4Se6
MatHub2d-1165-Bi4Se6
| Property |
Value |
| Space group |
(11, 'P2_1/m') |
| Crystal system |
rectangular |
| Magnetic |
No |
| Band gap (PBE) (eV) |
1.15 |
| Free energy (eV) |
-40.029 |
| Free energy / atom (eV) |
-4.003 |
Lattice Parameters (basic)
| a, b, c (Å): | 9.964 | 4.173 | 30.000 |
| α, β, γ (°): | 90.000 | 90.000 | 90.000 |
Lattice Parameters (computed)
| a, b, c (Å): | 10.302 | 4.181 | 30.000 |
| α, β, γ (°): | 90.000 | 90.000 | 90.000 |
| Property |
Value |
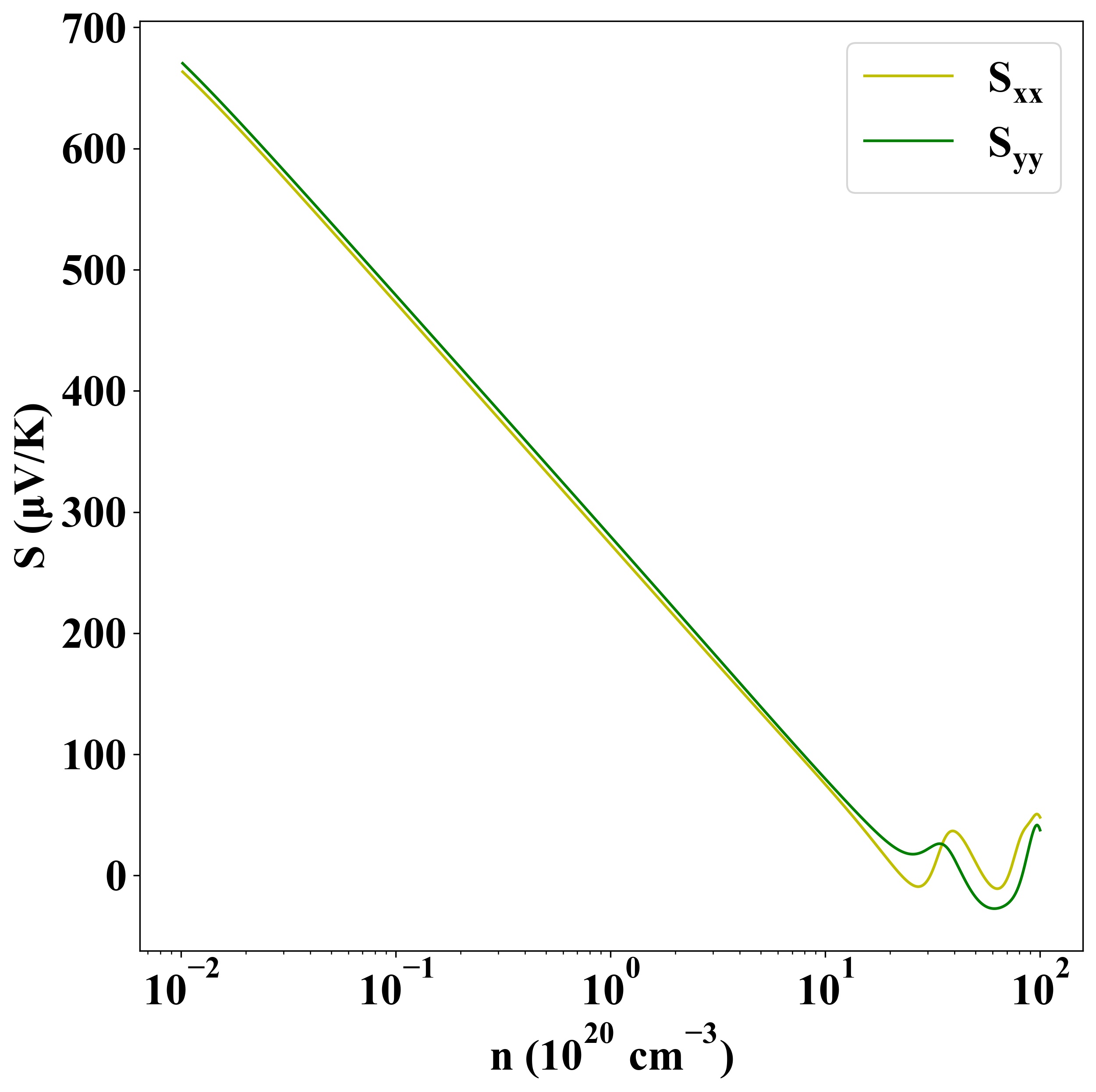
| Band gap |
1.15 eV |
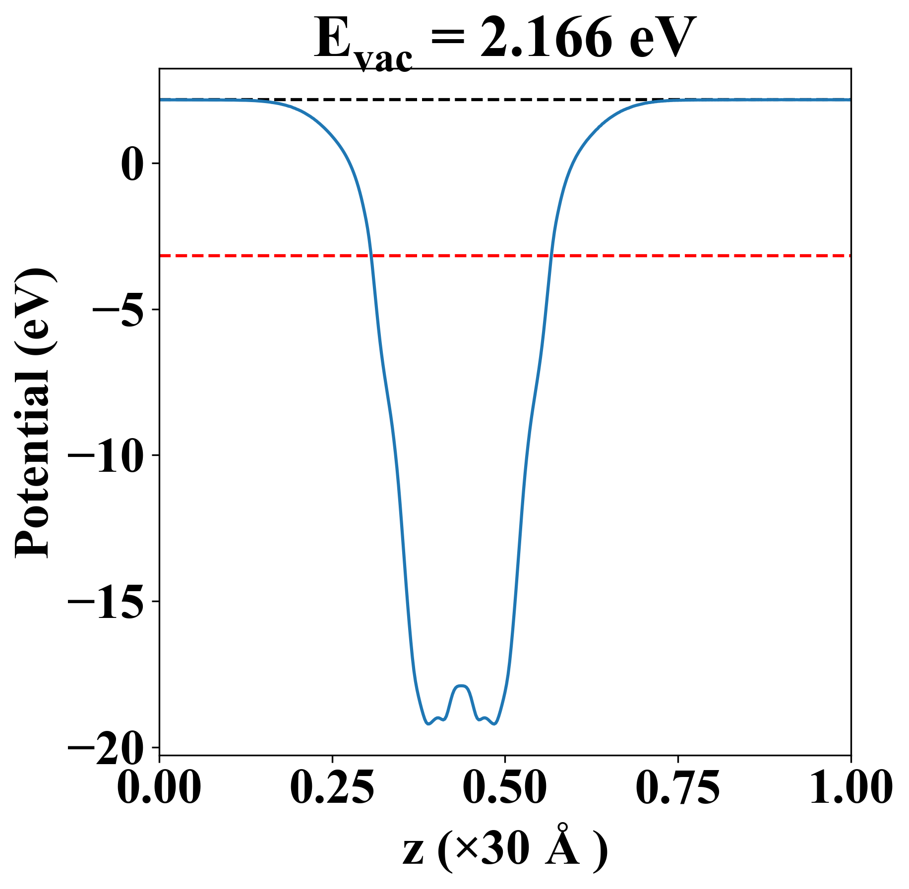
| E-fermi |
-3.170 eV |
| Vacuum level |
2.166 eV |
| VBM |
-3.484 eV |
| CBM |
-2.337 eV |
| Work function |
5.336 eV |
| Direct gap |
No |
| Property |
Value |
| Band gap |
1.15 eV |
| E-fermi |
-3.170 eV |
| Vacuum level |
2.166 eV |
| VBM |
-3.484 eV |
| CBM |
-2.337 eV |
| Work function |
5.336 eV |
| Cij (N/m) |
xx |
yy |
xy |
| xx |
16.612 |
8.695 |
-0.000 |
| yy |
8.695 |
46.926 |
0.000 |
| xy |
-0.000 |
0.000 |
15.180 |
| Phonon mode at Γ point (THz) |
| Property |
Value |
| from where |
JVASP-6736 |