Bi2I2Se2
MatHub2d-1164-Bi2I2Se2
| Property |
Value |
| Space group |
(59, 'Pmmn') |
| Crystal system |
rectangular |
| Magnetic |
No |
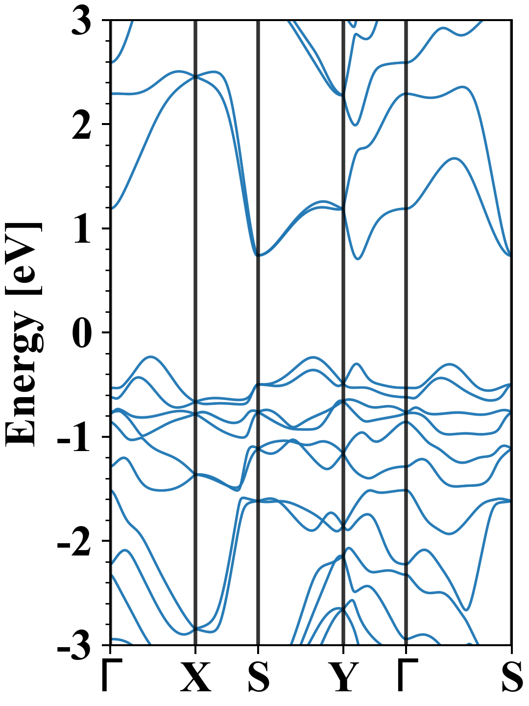
| Band gap (PBE) (eV) |
1.16 |
| Free energy (eV) |
-20.316 |
| Free energy / atom (eV) |
-3.386 |
Lattice Parameters (basic)
| a, b, c (Å): | 4.326 | 5.855 | 30.000 |
| α, β, γ (°): | 90.000 | 90.000 | 90.000 |
Lattice Parameters (computed)
| a, b, c (Å): | 4.326 | 5.853 | 30.000 |
| α, β, γ (°): | 90.000 | 90.000 | 90.000 |
| Property |
Value |
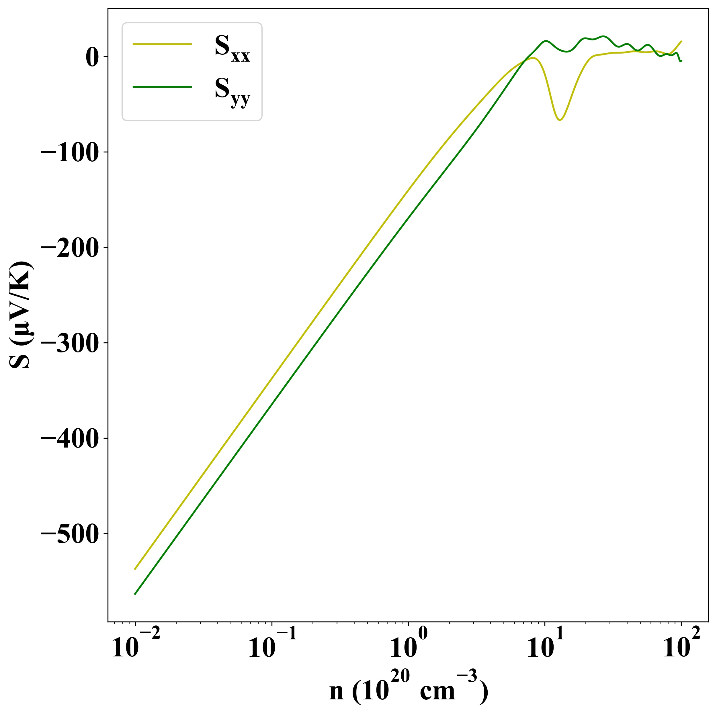
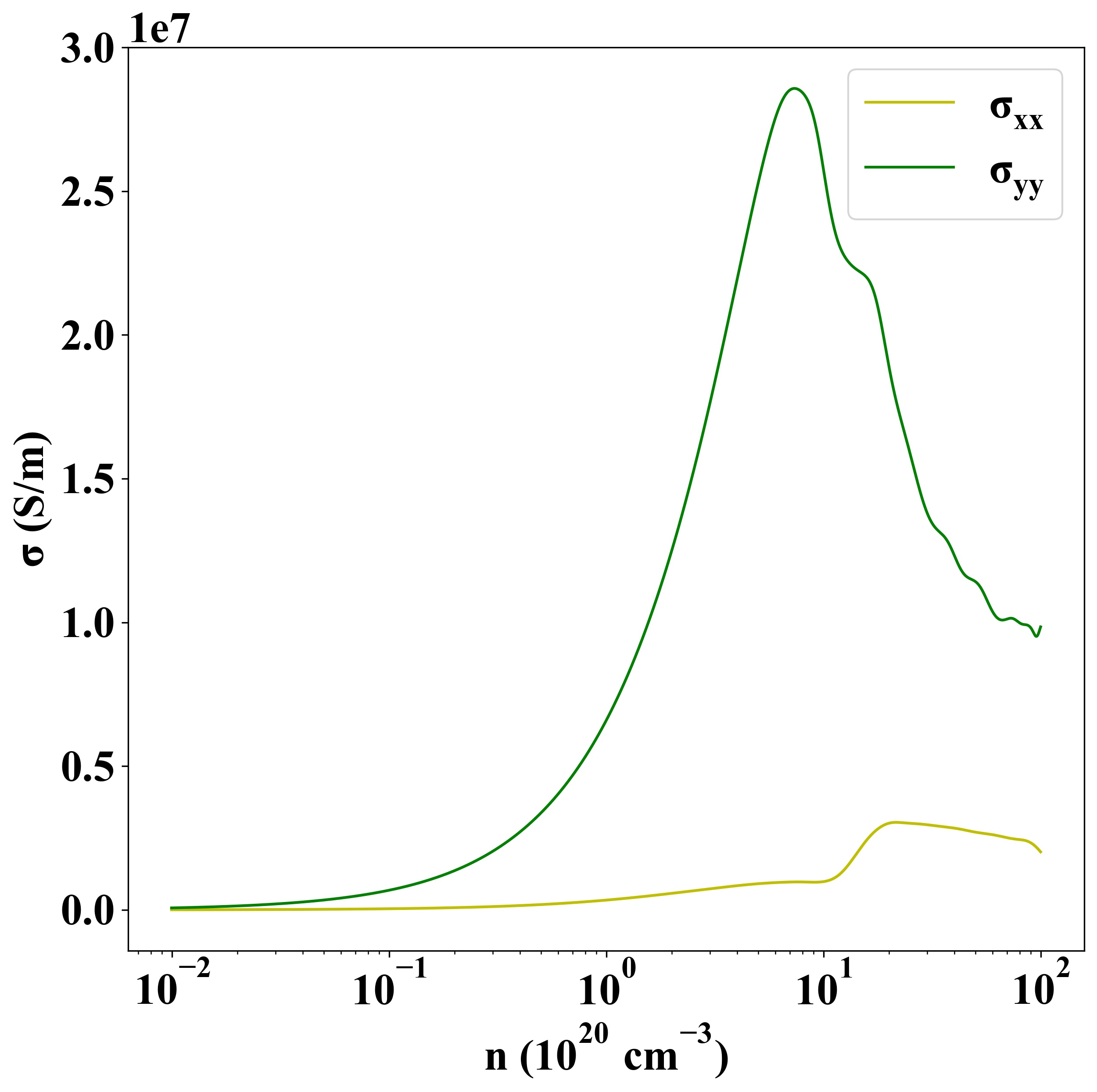
| Band gap |
1.16 eV |
| E-fermi |
-3.453 eV |
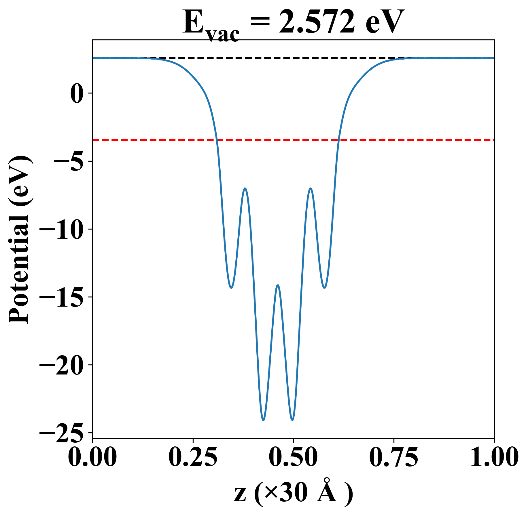
| Vacuum level |
2.572 eV |
| VBM |
-3.676 eV |
| CBM |
-2.511 eV |
| Work function |
6.025 eV |
| Direct gap |
No |
| Property |
Value |
| Band gap |
0.94 eV |
| E-fermi |
-3.383 eV |
| VBM |
-3.616 eV |
| CBM |
-2.677 eV |
| Free energy (eV) |
-21.884 |
| Free energy / atom (eV) |
-3.647 |
| Property |
Value |
| Band gap |
1.16 eV |
| E-fermi |
-3.453 eV |
| Vacuum level |
2.572 eV |
| VBM |
-3.676 eV |
| CBM |
-2.511 eV |
| Work function |
6.025 eV |
| Cij (N/m) |
xx |
yy |
xy |
| xx |
37.115 |
5.501 |
0.000 |
| yy |
5.501 |
55.481 |
0.000 |
| xy |
0.000 |
0.000 |
10.517 |
| Phonon mode at Γ point (THz) |
| Property |
Value |
| from where |
c2db-49 |